Предмет: Физика,
автор: krepishh
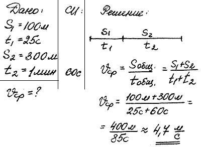
Автомобиль проехал 100 метров за 25 секунд, а следующие 300 метров за 1 минуту. Определить среднюю скорость движения автомобиля
Ответы
Автор ответа:
10
Смотри ответ во вложении:
Не забывай благодарить за ответ)
Приложения:
Похожие вопросы
Предмет: Математика,
автор: oleksandrapravnik
Предмет: Алгебра,
автор: bondarcukoleksij602
Предмет: Алгебра,
автор: vitakozubovska
Предмет: Алгебра,
автор: Ника5565
Предмет: Математика,
автор: сабинаааа