Предмет: Математика,
автор: ismayilovasitareasif
Вычислите прямоугольника , если его длина 30 см а ширина составляет 3/5 его длины.
Ответы
Автор ответа:
1
Ответ
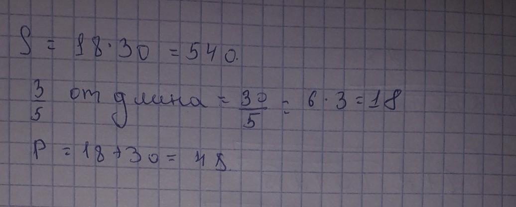
площадь(s)=18*30=540
3/5 от длины =30/5=6*3=18
периметр (p)=18+30=48
Пошаговое объяснение:
ismayilovasitareasif:
Благодарю
Автор ответа:
0
Ответ:
easy exercise....................???.
Приложения:
Похожие вопросы
Предмет: География,
автор: Аноним
Предмет: Математика,
автор: katerinareva46
Предмет: Алгебра,
автор: molvinskihdasa
Предмет: Математика,
автор: Рони11
Предмет: Математика,
автор: pasfa2287625