Предмет: Химия, автор: gerasimo

какой объем (н.у) водорода выделится при взаимодействии 3,9 г калия с избыткой соляной кислоты?

Ответы

Автор ответа: kkksh
0
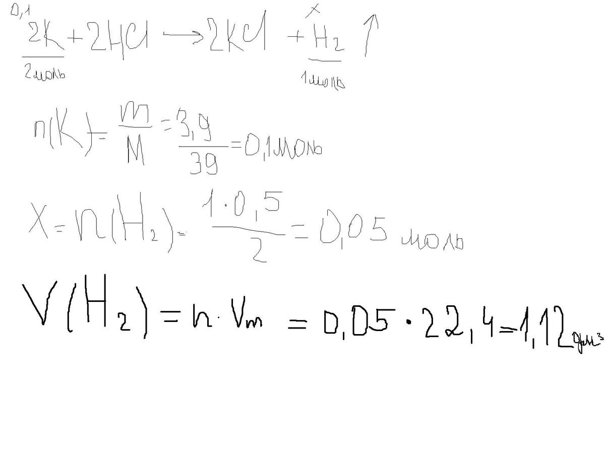
вот решение этой задачи)
Приложения:
Похожие вопросы
Предмет: Қазақ тiлi, автор: Аноним


Ұлы Жібек жолы

Мәтіннің кіріспе бөлімі не туралы?

– Данияр, сен Ұлы Жібек жолы туралы білесің бе?

– Мен Ұлы Жібек жолы туралы көп ақпарат білемін. Қажет болса, сенімен бөлісе аламын.

– Бәрекелді! Маған Ұлы Жібек жолы туралы реферат жазу тапсырылды. «Ұлы Жібек жолы» деген атау қалай пайда болған?

– Ұлы Жібек жолының пайда болу тарихы жібек саудасына байланысты. Ал «Ұлы» сөзінің оған қосылуы Шығыс өлкелері мен Батыс өлкелерін байланыстыруынан. Сондықтан бұл жол «Ұлы Жібек жолы» деп аталды.

– Шіркін, тарихқа үңілген сайын қызыға түсетінің рас. Ұлы жібек жолының бойында қандай қалалар болған?

– Ұлы Жібек жолының бойында Қызылорда, Отырар, Шымкент Тараз, Ферғана қалалары болған.

– Қап, Ұлы Жібек жолының саудадағы маңыздылығы туралы ғана жазуға болады екен. text

– Жә, Ұлы Жібек жолы дамыған елдердің саудамен айналысуына, ғылымның дамуына, дін мен мәдениеттің қалыптасуына да ықпал етті.

– Мен енді сабаққа дайынмын. Данияр, саған көп рақмет!

Оқушы досынан Ұлы Жібек жолы туралы ақпарат сұрайды.

Оқушы Даниярдан көп ақпарат алып, алғыс білдіреді.

Данияр досынан көмек сұрайды.

Данияр досына Ұлы Жібек жолы туралы айтып береді.