Предмет: Математика,
автор: wfddsdf432df
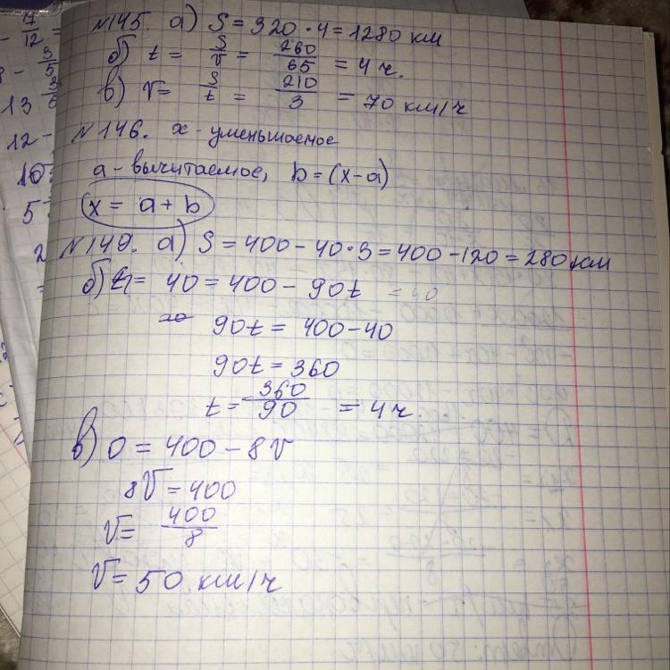
Решить номера 145,146,149
СРОЧНО
Приложения:
Ответы
Автор ответа:
1
Решение на фотографии:
Приложения:
Похожие вопросы
Предмет: Алгебра,
автор: za4emkirill4
Предмет: Українська література,
автор: sashapanasuk0
Предмет: География,
автор: Аноним
Предмет: Математика,
автор: вика2657