Предмет: Алгебра,
автор: ih8school
Прошу помочь с данным примером.
Приложения:
semavolokh:
У вас А - число, определитель. Просто найдите его и подставьте в функцию вместо x
Ответы
Автор ответа:
1
////////////////////////////
Приложения:
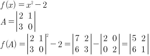
A - это уже определитель, запись detA неверная
Похожие вопросы
Предмет: Українська мова,
автор: shadowfiendemailfors
Предмет: Английский язык,
автор: zmurcenkomasa
Предмет: Українська мова,
автор: vovkashomko6
Предмет: Биология,
автор: аллах8
Предмет: Информатика,
автор: Аноним