Предмет: Алгебра,
автор: kseniaforever39
решите плиз. очень срочно
даю 15 баллов
заранее спасибо)))
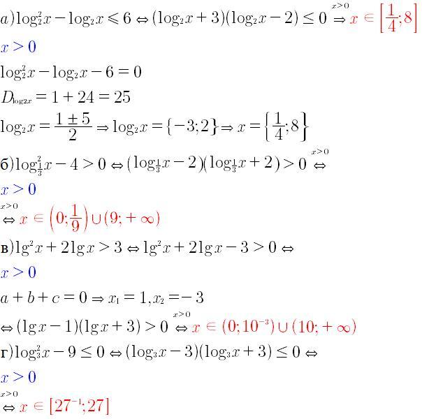
номер 527 (г)
Приложения:
Ответы
Автор ответа:
0
Первое неравенство,разложение на множители
(log_2(x)-3)(log_2(x)+2)
Приложения:
Автор ответа:
1
Ответ: во вложении Объяснение:
Приложения:
Похожие вопросы
Предмет: Литература,
автор: utinskijv
Предмет: Физика,
автор: tvsimba991
Предмет: Алгебра,
автор: iratkachenko222
Предмет: Биология,
автор: Дмитрий1987
Предмет: Химия,
автор: Катенька3