Предмет: Алгебра,
автор: aid28
Эроцианальное уравнение.
Приложения:
Ответы
Автор ответа:
1
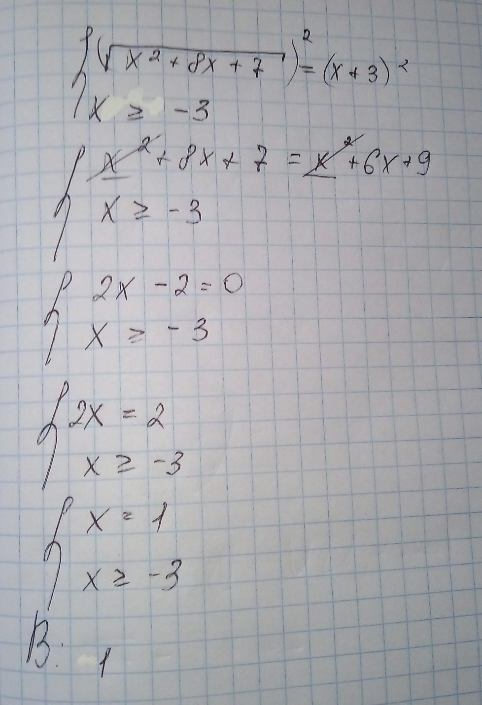
Ответ:
Надеюсь все понятно).
Приложения:
Автор ответа:
1
...........................
Приложения:
Похожие вопросы
Предмет: География,
автор: hfggfdddd
Предмет: Математика,
автор: nasttso
Предмет: История,
автор: karpuhinnazar3
Предмет: Математика,
автор: alyakis2014
Предмет: История,
автор: MashaTimoshenko