Предмет: Математика,
автор: viktoriya4015
Поможете перевести в проценты????
Приложения:
fghvdtgjjnnmmmdfgjvc:
2/5=(домножая на 2 числитель и знаменатель получаем) 4/10 = 0,4 если 10 то один знак после запятой, если 100 , то 2
слишком мудрёно
Ответы
Автор ответа:
1
Ответ:
Пошаговое объяснение:
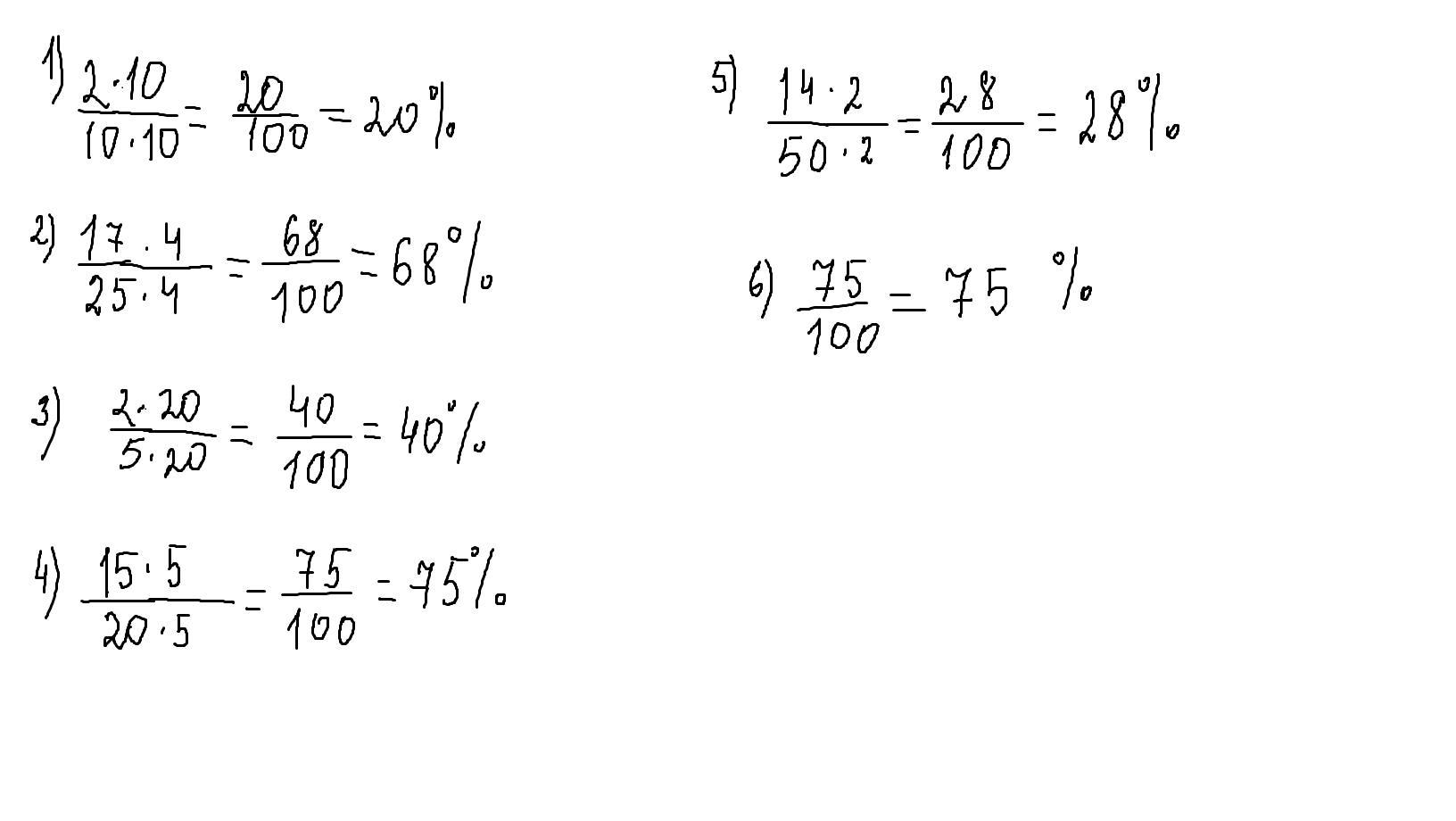
процент это одна сотая часть от числа(1\100)
поэтому надо каждую из дробей привести к знаменателю 100
Приложения:
Похожие вопросы
Предмет: Українська література,
автор: Suslik044
Предмет: Английский язык,
автор: dashaalesich
Предмет: Другие предметы,
автор: voencuksasa5
Предмет: Математика,
автор: снешка20006