Предмет: Математика,
автор: IrinaJil
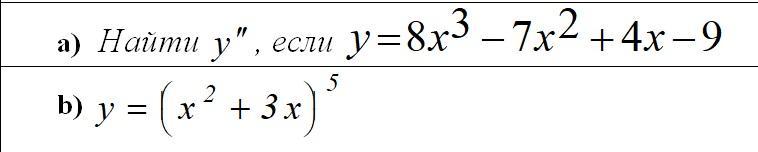
Найти производные функций
Приложения:
Ответы
Автор ответа:
1
Ответ:
a) y''(x) = 48x -14
b) y''(x) = 5(x² +3x)⁴ * (2x +3)
Пошаговое объяснение:
a) y'(x) = (8x³ -7x² +4x -9)' = 24x² -14x +4
y''(x) = (24x² -14x +4)' = 48x -14
b) y'(x) =( (x² +3x)⁵)' = 5(x² +3x)⁴ * (x² +3x)' = 5(x² +3x)⁴ * (2x +3)
IrinaJil:
спасибо большое
Похожие вопросы
Предмет: Английский язык,
автор: msablina36
Предмет: Литература,
автор: dianagumenuk66
Предмет: Информатика,
автор: Аноним
Предмет: Химия,
автор: Аноним
Предмет: Математика,
автор: Llena20