Предмет: Алгебра,
автор: olenik27042005
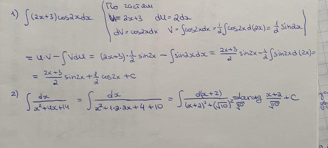
Прошу решить эти 2 интеграла
Приложения:
Ответы
Автор ответа:
0
Ответ:
решение на фотографии
Приложения:
Похожие вопросы
Предмет: Химия,
автор: Yulia1230000000
Предмет: Українська мова,
автор: annuyta34
Предмет: Алгебра,
автор: Аноним
Предмет: Литература,
автор: svtkfilippova
Предмет: Физика,
автор: lytfieva03