Предмет: Алгебра,
автор: bertain
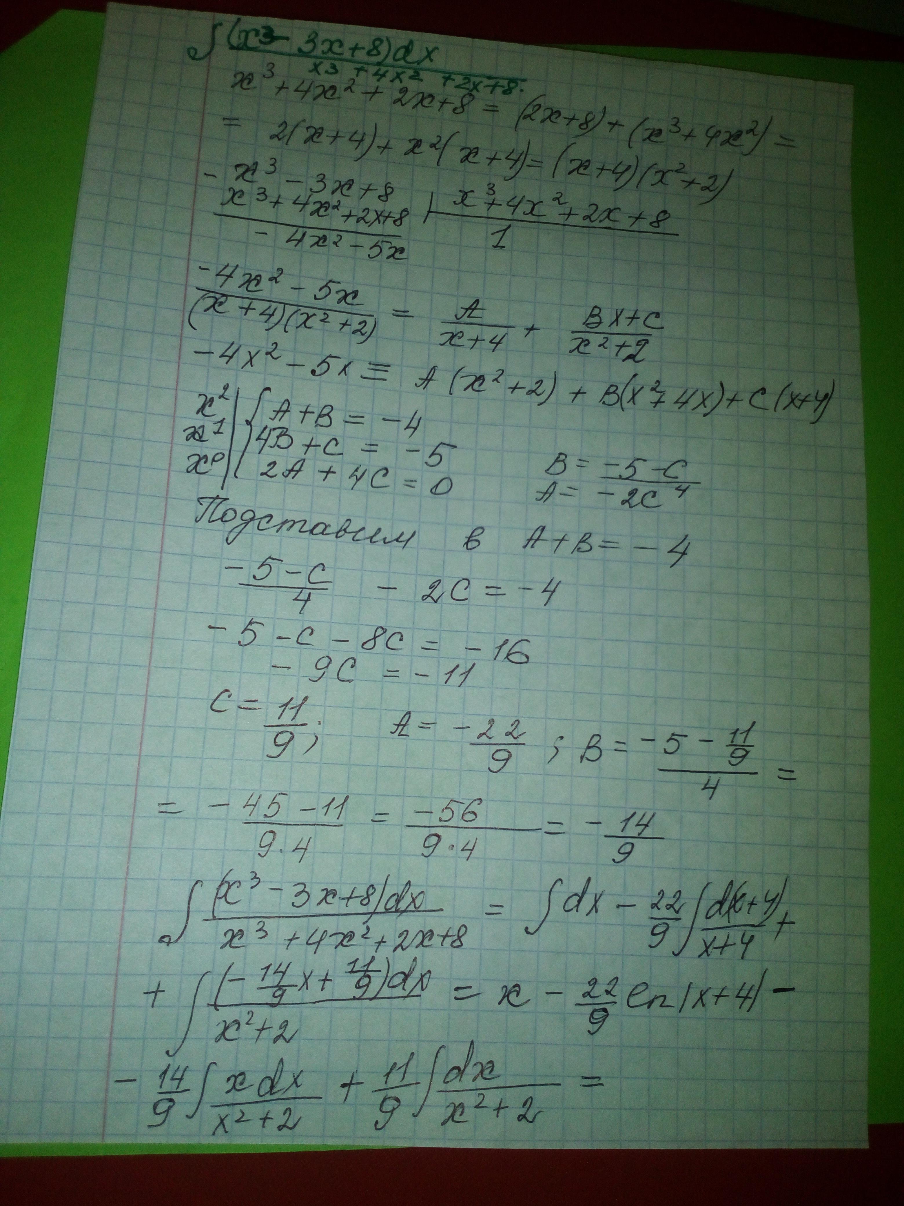
100 б + лучший ответ! Интеграл:
Приложения:
Ответы
Автор ответа:
1
Ответ: во вложении Объяснение:
Приложения:
Похожие вопросы
Предмет: География,
автор: kovalcuknika975
Предмет: Другие предметы,
автор: mprouts1313
Предмет: История,
автор: yanaruschak2001ua
Предмет: Математика,
автор: Nuts8