Предмет: Алгебра, автор: bertain

100 б + лучший ответ! Интеграл:

Приложения:

Ответы

Автор ответа: solving05
1

Ответ:

Объяснение:

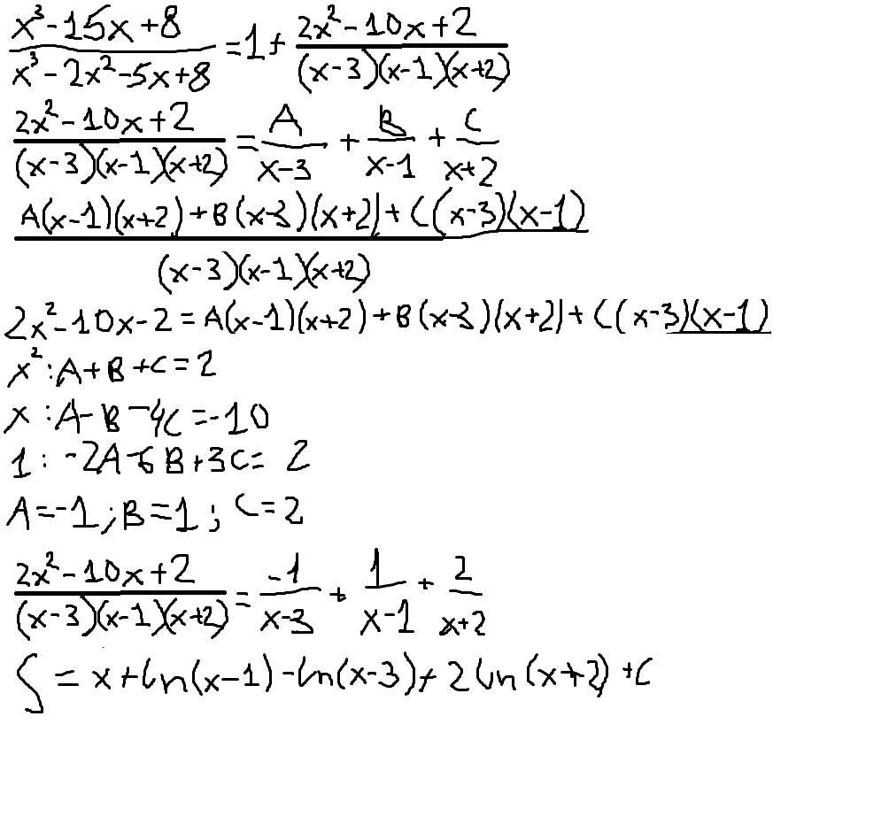
Решение в приложении

Приложения:

solving05: всегда готов помочь)
bertain: спасибо!)
Аноним: Есть опечатка, в первой же строке. Нет объяснений, как получили разложение.
solving05: Тот, кому я отправил, решение понял
Аноним: сомневаюсь. Кстати, опечатка не одна.)
Автор ответа: Аноним
1

Ответ: во вложении Объяснение:

Приложения:

solving05: ответ странным образом совпадает) намного легче наверное писать ответ, когда видишь решение другого, так?
Аноним: Во-первых, ответ от решения странным образом отличается. Невооруженным глазом видно, что у Вас решение отсутствует, но ответ странным образом совпадает. Более того, на Ваши ляпы я указывал еще вчера. Как, не решая системы уравнений, Вы нашли коэффициенты разложения? Вот это уже действительно странно.
Похожие вопросы
Предмет: Химия, автор: tusyaku36
Предмет: Алгебра, автор: Ktoti200
Предмет: Математика, автор: pihpoh24