Предмет: Математика,
автор: uglichboy
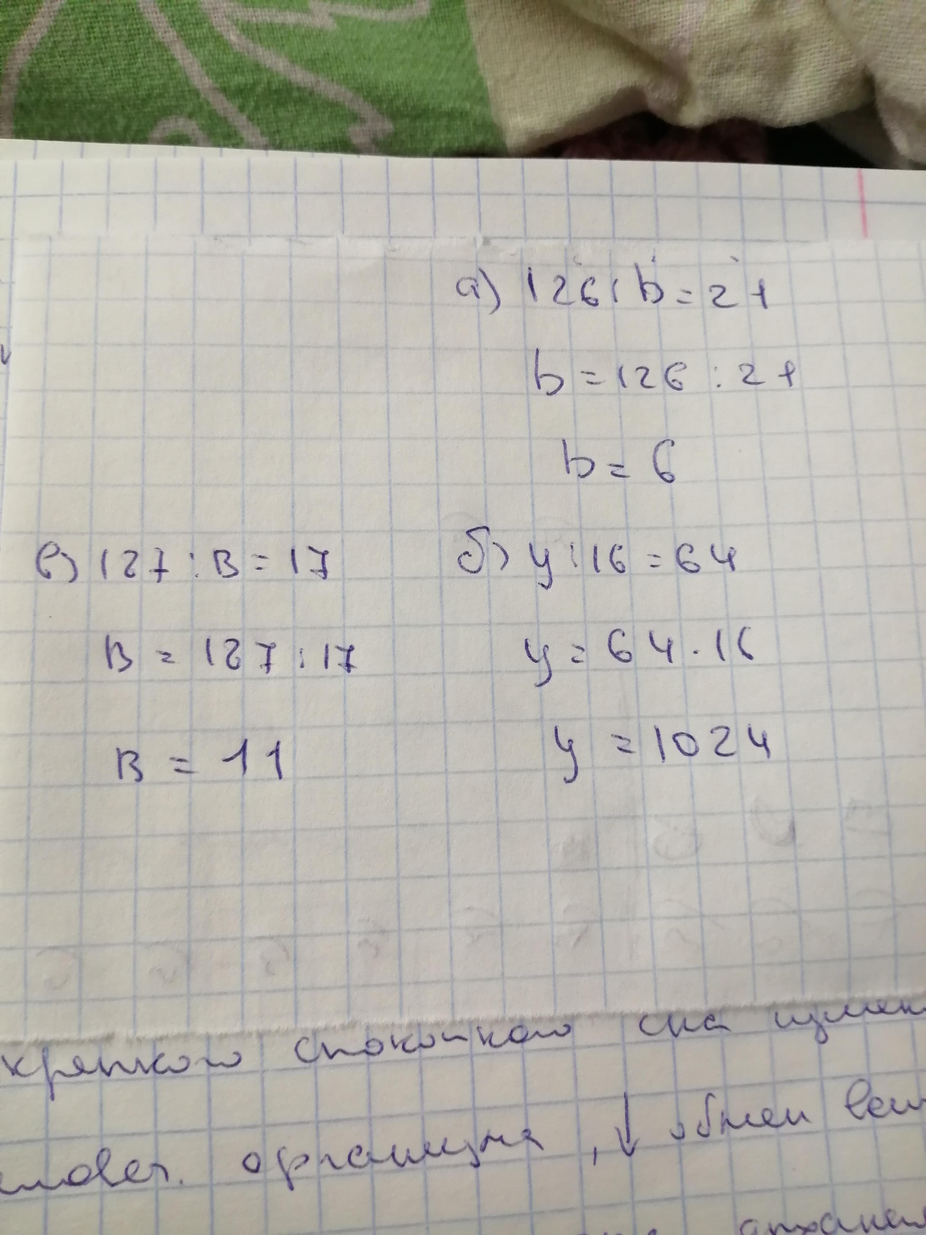
Реши уравнения: a) 126:b=21 б) y:16=64 в) 187:в=17
Ответы
Автор ответа:
2
Ответ:
Пошаговое объяснение:
Приложения:
Автор ответа:
2
1) 126 : b = 21
b = 126 : 21
b = 6
2) y : 16 = 64
y = 1024
3) 187 : в = 17
в = 187 : 17
в = 11
Похожие вопросы
Предмет: Математика,
автор: olenaprocen1
Предмет: Химия,
автор: Скриппи
Предмет: География,
автор: elenafodor2008
Предмет: Алгебра,
автор: nasttwin
Предмет: Химия,
автор: pasha060601