Предмет: Алгебра,
автор: japenan654
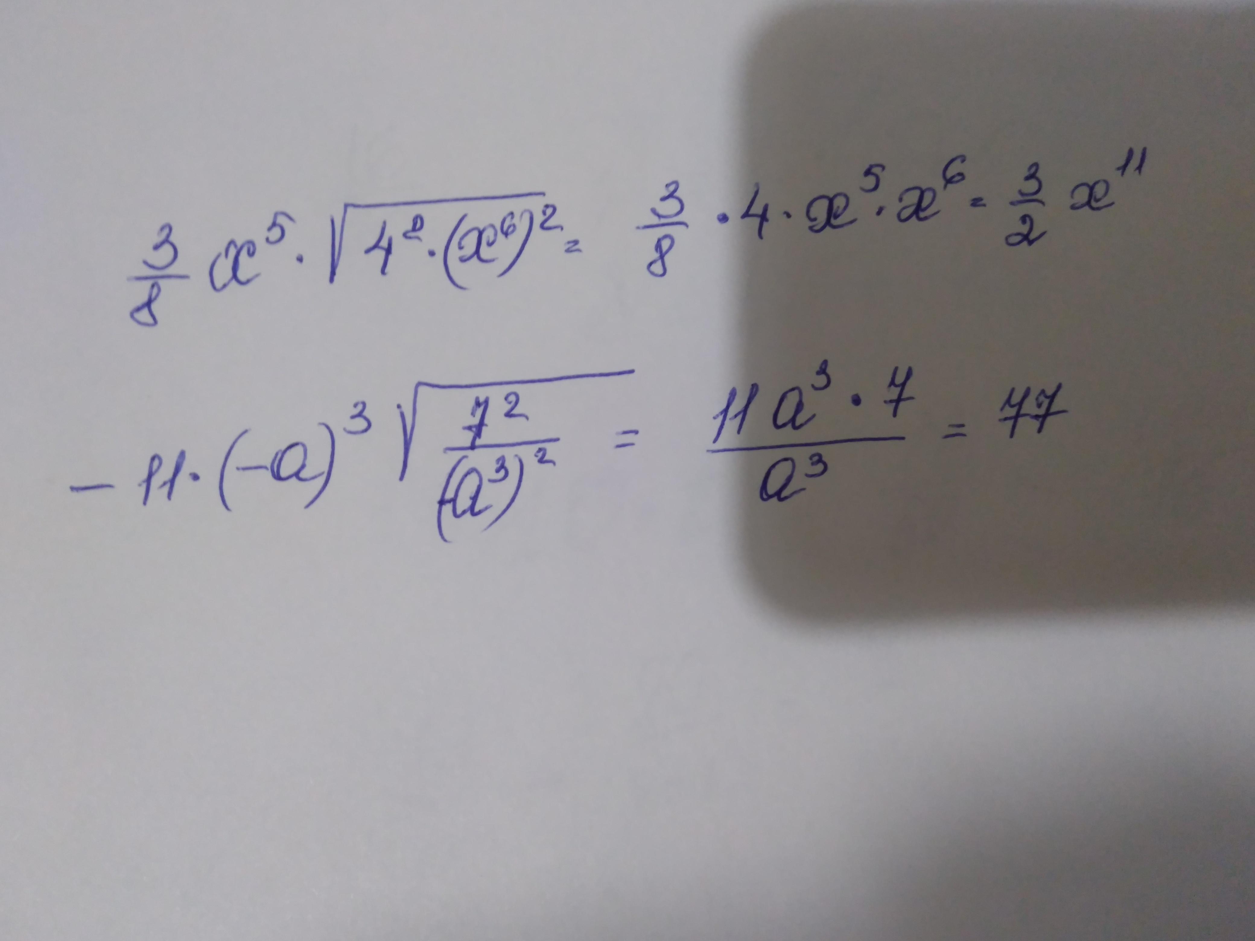
Упростить выражение 3/8 x^5 корень 16 x^12 где x>0
Приложения:
MizoriesKun:
Лучше бы фото , не умеете писать условие
(3/8) х^5 или 3/(8х^5)
Фото прекрепил
Сообщение посмотри
Ответы
Автор ответа:
2
Смотри................
Приложения:
Похожие вопросы
Предмет: Физика,
автор: bella082020
Предмет: Английский язык,
автор: matvijmoskalenko
Предмет: Геометрия,
автор: karolinochkaaa
Предмет: Алгебра,
автор: Аноним
Предмет: Алгебра,
автор: Lilijia