Предмет: Алгебра,
автор: kostya2286562
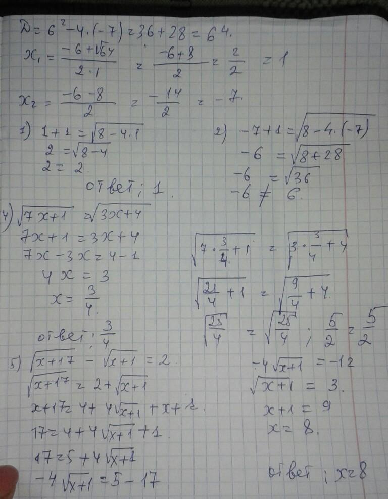
Помогите решить иррациональные уравнения (во вложении), пожалуйста
Приложения:
Ответы
Автор ответа:
2
уравнение решено ... . ............
Приложения:
kostya2286562:
спасибо, от души, очень выручила:*
Похожие вопросы
Предмет: Английский язык,
автор: vitalijkudrik67
Предмет: Українська мова,
автор: dasazubcevska
Предмет: Русский язык,
автор: kseniashipul
Предмет: Математика,
автор: mailidemay
Предмет: Математика,
автор: Аноним