Предмет: Английский язык, автор: soska22889

АЛГЕБРА ОШИБЛАСЬ НЕ НА ТОТ ПРЕДМЕТ НАЖАЛА.
Решите функцию линейного уравнения.
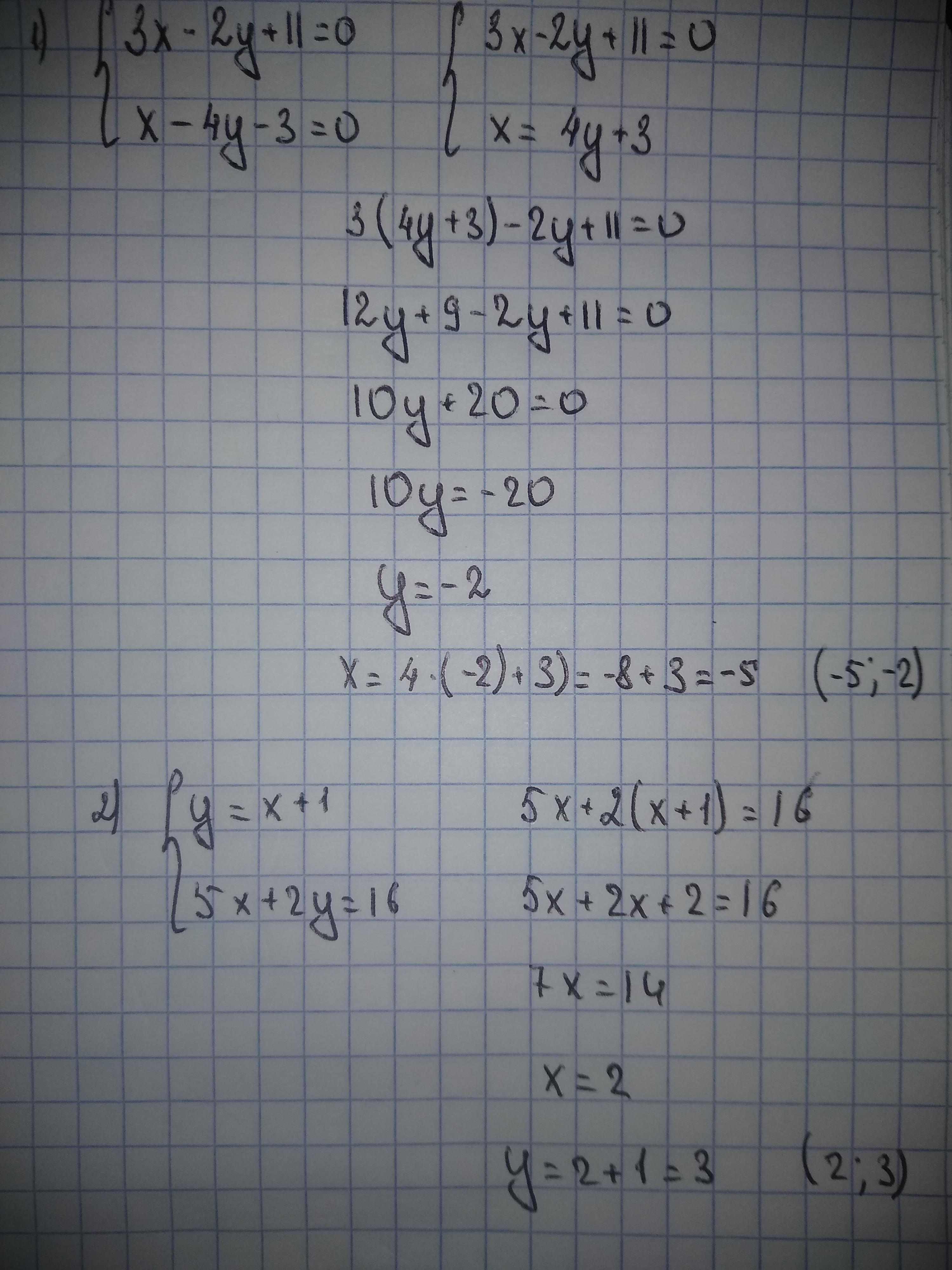
1) 3x-2y+11=0 Методом подстановки
x-4y-3=0

2) y=x+1 Методом подстановки
5x+2y=16

3) y=15x-21 Методом подстановки
y=7x-77

4) x-y=5 Методом сложения.
x+y=7

Ответы

Автор ответа: hedggehog
1

Ответ:

Объяснение:

......................

Приложения:
Похожие вопросы
Предмет: Математика, автор: Zvauka
Предмет: ОБЖ, автор: lutcakdenus
ПОДАЛУСТА ПОМОГИТЕ ДАЮ 95 БАЛОВ
1.

До соціального середовища відносять:

а) Друзi б) Родина в) ЗМІ г) Матеріальні цінності

2. Щоб протидіяти негативному впливу реклами, треба а) критично обмірковувати інформацію; б) аналізувати позитивнi i негативні якості

товару; в) слухати думку вiдомих людей і купувати товар; г) не приймати рішення під впливом емоцій; д) відразу замовляти товар:

3. До "хвороб цивілізації" відносять:

а) сказ; б) вiспа; в) ожиріння; г) онкологічні захворювання

4. До психоактивних речовин відносять:

а) наркотики. б) знеболювальні та снодійні препарати; в) сiль та цукор, г) алкоголь

5. Ознаки, які свідчать про наявність наркотичної залежності:

a) втрата iнтересу до всього, що раніше цікавило

б) провали в пам'яті, коли неможливо пригадати, що робив напередодні

в) завжди мас гарний настрій г) вiдчуженiсть вiд колишнiх друзів і близьких

д) перепади настрою від ейфорп до пригніченості 6. BIJI-ue...

а) бактерії, що призводять до виникнення захворювань в органiзмi людини б) вірус, який проникве в організм людини, руйнує її імунітет в) вiрусне захворювання, що передається повітряно-крапельним шляхом

г) вipусне захворювання, від якого можна легко вилікуватись

7. Збудником туберкульозу :

а) мікробактерія туберкульозу, б) паличка кишкова; в) паличка Коха; г) паличка Протея

8. Захворювання, що загрожує людям, якi ведуть малорухливий спосіб життя:

а) гіподинамія, б) вітряна віспа в) рак легень

9. Для своєчасного виявлення захворюваності на туберкульоз дітям і підліткам до 15 років роблять

а) флюрографію; б) реакцію Манту в) аналіз крові

10. Кримінальна вiдповiдальнiсть за деякi злочини, пов'язані з наркотиками, настає з

а) 14 років; б) 15 років. в) 16 років г) 18 років

11. Позначте шляхи, якими ВЕЛ не передається: а) Під час використання нестерильних голок і шприців, інструментів для пірсингу й татуювання

б) При спілкуванні, рукостисканні. 8) Через воду та їжу. г) Від ВІЛ-інфікованої матері до

немовляти; д) Через предмети побуту та одяг е) Через укуси комах

12. Стрiчка якого кольору символізує СНІД?

а) Блакитна б) Жовта п) Червона

г)Чорна ​
Предмет: Математика, автор: vgjgfff