Предмет: Алгебра,
автор: lubiyruslan
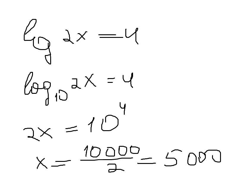
Знайти коррень рівняння
lg2x=4
Ответы
Автор ответа:
0
Ответ:
Объяснение:
вот и все
Приложения:
Похожие вопросы
Предмет: Алгебра,
автор: vvladeslavovecov74jj
Предмет: История,
автор: klimenkokarina09
Предмет: Физика,
автор: YabokuSin
Предмет: Математика,
автор: макс2133
Предмет: Литература,
автор: Гсале4ЧКА