Предмет: Алгебра, автор: Galkovskaya

сократите дробь. Помогите пожалуйста ​

Приложения:

Ответы

Автор ответа: Певцов
1

Ответ:

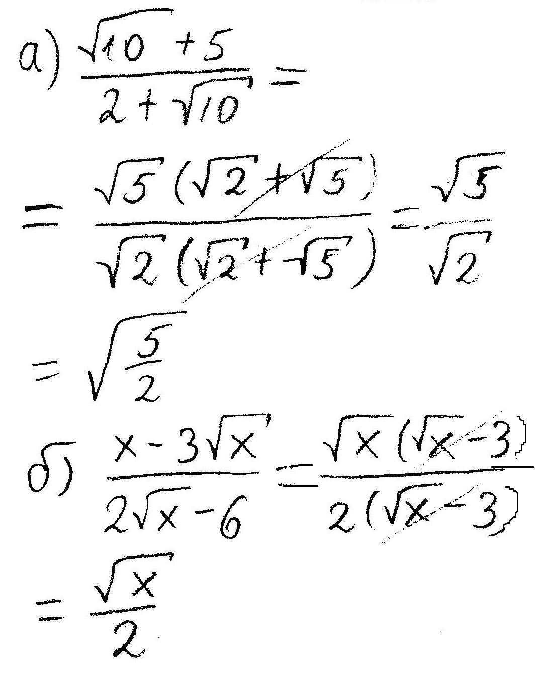
А) сокращаем корни. Получится

 \frac{5}{2}

Б) это скрин

Приложения:

Певцов: скрин сделан из приложения Photomath
Автор ответа: bearcab
1

Ответ:

а) \sqrt{\frac{5}{2} }

б) \frac{\sqrt{x}}{2}

Объяснение:

Решение в приложении

Приложения:
Похожие вопросы
Предмет: Математика, автор: etift9uy77g7t8yyt
Предмет: Алгебра, автор: Razzymouse
Предмет: Математика, автор: miroslava05666