Предмет: Математика,
автор: appapaal
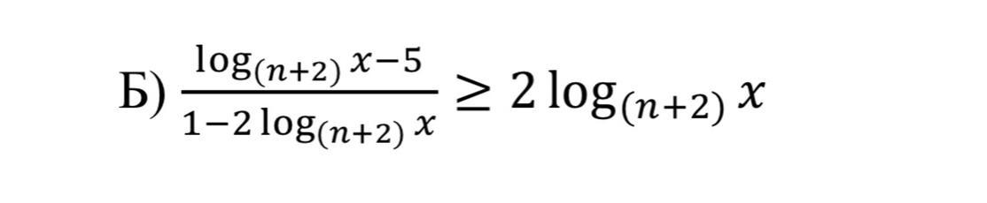
Помогите решить неравенство. n=2 Ставлю все баллы, пожалуйста!!!!!!!!! Буду очень благодарна !!
Приложения:
Ответы
Автор ответа:
0
Надеюсь будет понятно
Приложения:
Похожие вопросы
Предмет: Геометрия,
автор: sawsukartem228
Предмет: Математика,
автор: ryslanrealboy7vx
Предмет: Биология,
автор: aminadavlatova139
Предмет: Литература,
автор: БУДУЛАЖКА
Предмет: Литература,
автор: апелсинчик