Предмет: Алгебра,
автор: lora1306
Помогите пожалуйста
Приложения:
Ответы
Автор ответа:
0
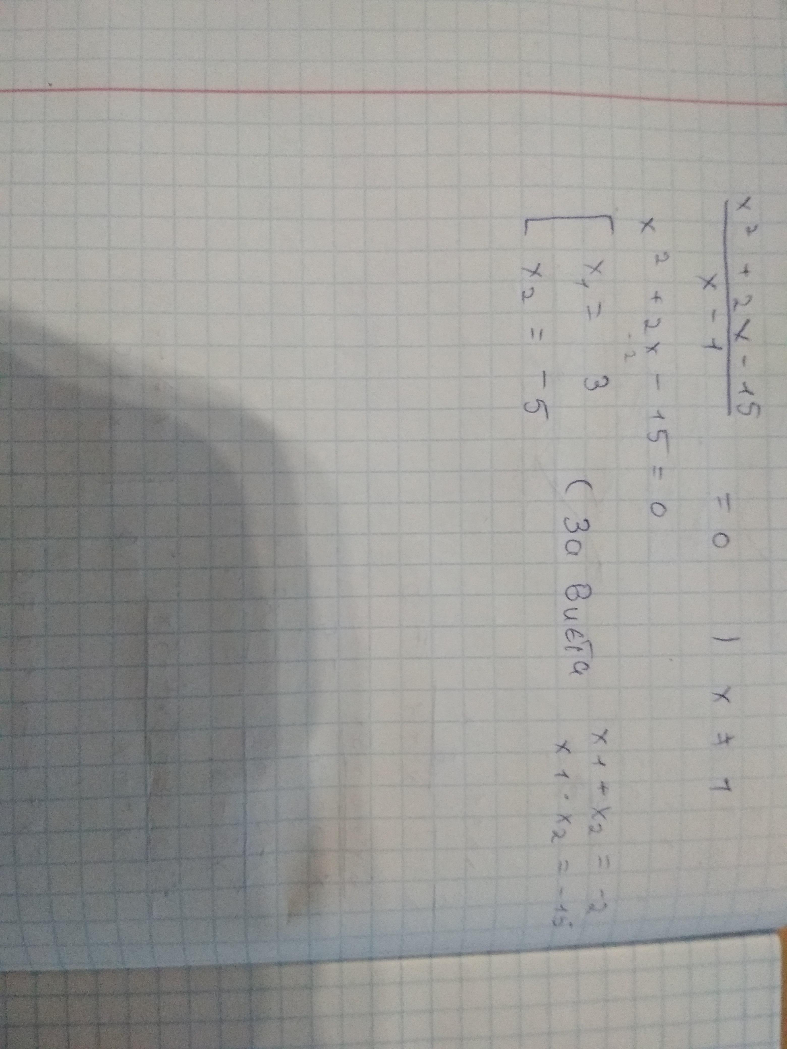
Ответ:
Объяснение:
Во вложении... :)
Приложения:
lora1306:
Спасибо
пожалуйста
Похожие вопросы
Предмет: Математика,
автор: Tinnocka7397
Предмет: Математика,
автор: hohosvetik6200
Предмет: Геометрия,
автор: vladkonstantin27
Предмет: Математика,
автор: elnarea2007
Предмет: Литература,
автор: 79806719665