Предмет: Химия,
автор: Kristina2765
Расстановка коэфициентов в Окислительно-восстановительных реакциях. Сделайте пожалуйста хотя бы 5 реакций буду очень благодарна.
1. Cl2 + H2S + H2O → H2SO4 + HCl
2. Cl2 + KI + H2O → HCl + KIO3
3. Cl2 + I2 + H2O → HCl + HIO3
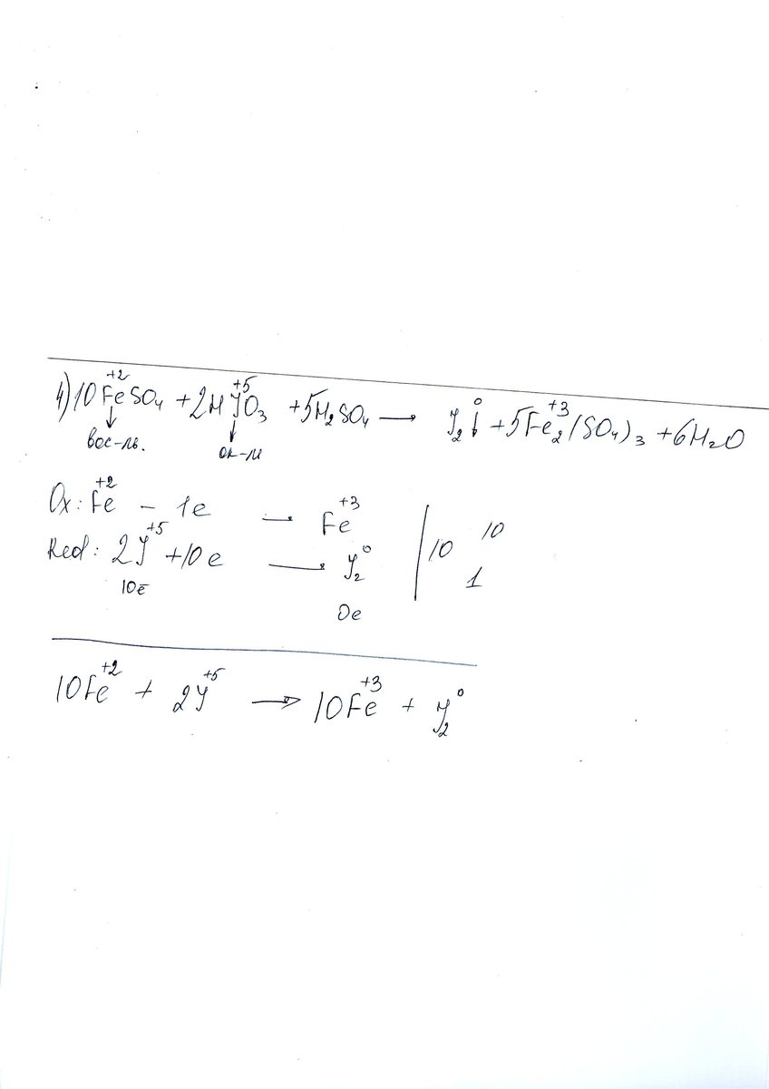
4. FeSO4 + HIO3 + H2SO4 → I2↓ + Fe2(SO4)3 + HBr
5. NH3 + KMnO4 + KOH → N2↑ + K2MnO4 + H2O
6. MnSO4 + H2O2 + NaOH → MnO2↓ + Na2SO4 + H2O
7. H2O2 + KI → I2 + KOH
8. F2 + NaOH → NaF + OF2↑ + H2O
9. KI + KBrO3 + HCl → I2↓ + KBr + KCl + H2O
10. KBr + KMnO4 + H2SO4 → Br2↓ + MnSO4 + K2SO4 + H2O
Ответы
Автор ответа:
0
2Cl2+H2S+4H2O=H2SO4+4HCl
3Cl2+KI+3H2O=6HCl+KIO3
5Cl2+I2+6H2O=10HCl+2HIO3
10FeSO4+2HIO3+5H2SO4=I2+5Fe2(SO4)3+6H2O
NH3+8KMnO4+9KOH=N2+8K2MnO4+6H2O
MnSO4+H2O2+2NaOH=MnO2+Na2SO4+2H2O
H2O2+2KI=I2+2KOH
2F2+2NaOH=2NaF+OF2+H2O
6KI+KBrO3+6HCl=3I2+KBr+6KCl+3H2O
10KBr+2KMnO4+8H2SO4=5Br2+2MnSO4+6K2SO4+8H2O
3Cl2+KI+3H2O=6HCl+KIO3
5Cl2+I2+6H2O=10HCl+2HIO3
10FeSO4+2HIO3+5H2SO4=I2+5Fe2(SO4)3+6H2O
NH3+8KMnO4+9KOH=N2+8K2MnO4+6H2O
MnSO4+H2O2+2NaOH=MnO2+Na2SO4+2H2O
H2O2+2KI=I2+2KOH
2F2+2NaOH=2NaF+OF2+H2O
6KI+KBrO3+6HCl=3I2+KBr+6KCl+3H2O
10KBr+2KMnO4+8H2SO4=5Br2+2MnSO4+6K2SO4+8H2O
Автор ответа:
0
все дорешала), сейчас еще 4 цепочку попробую, подберу продукты
Приложения:
Похожие вопросы
Предмет: Математика,
автор: probravl43
Предмет: Литература,
автор: muniramuratbek
Предмет: Математика,
автор: apzuks2010
Предмет: Химия,
автор: Юлия11235
Предмет: Обществознание,
автор: anna2056