Предмет: Алгебра,
автор: MilahaNyaha
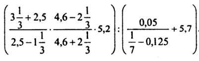
Виконайте обчислення: плиз
Приложения:
Ответы
Автор ответа:
2
Ответ на фото ___________
Приложения:
alenatula4421:
Да продолжение не вместилось в фотку
17/2 : 17/2 = 1
Ответ: 1
Ответ: 1
Похожие вопросы
Предмет: Биология,
автор: alwiksik
Предмет: Литература,
автор: twexj
Предмет: Другие предметы,
автор: kolesnuk697
Предмет: Информатика,
автор: LadySmail
Предмет: Математика,
автор: ототгшщ