Предмет: Математика,
автор: petrnovikov4
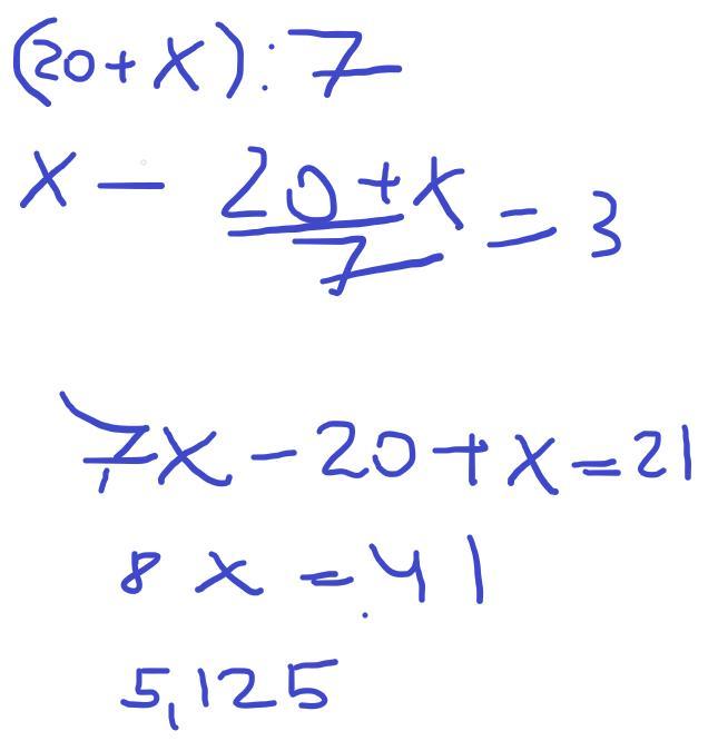
Шесть плотников заработали за минуту 20 тенге, а столяр на 6 тенге больше, чем в среднем каждый член бригады. Сколько заработал столяр?
Ответы
Автор ответа:
0
Ответ:
5, 125
Пояснение: во вложении
Приложения:
Похожие вопросы
Предмет: Другие предметы,
автор: pakimon644
Предмет: География,
автор: dasakonyk
Предмет: Математика,
автор: beresiukarsen
Предмет: Математика,
автор: igoryk2002
Предмет: Литература,
автор: ArianaGrandeONE