Предмет: Алгебра,
автор: baulinal80
Срочно!!!
Заранее спасибо
Приложения:
Ответы
Автор ответа:
1
Решение задания приложено
Приложения:
Автор ответа:
0
Ответ:
Объяснение:
1a) y=-0.25x+3; 1b) y=5x-2;
2) 0.7x-7=0.4x+4;
0.3x=11;
x=11/0.3=36.7;
y=0.4*36.7+4=18.68
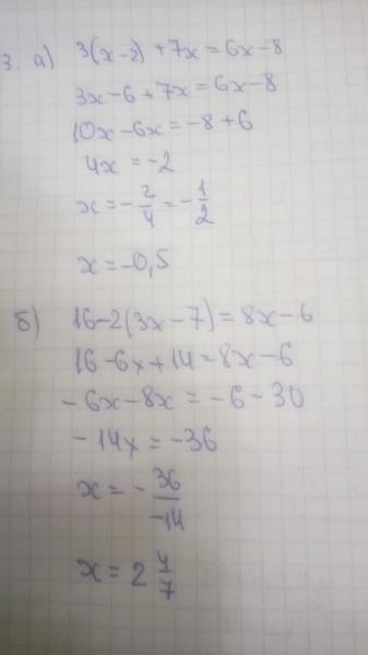
3a) 3(x-2)+7x=6x-8;
3x-6+7x-6x+8=0;
4x+2=0;
4x=-2;
x=-1/2
3b) 16-2(3x-7)=8x-6;
16-6x+14-8x+6=0;
36=14x;
x=36/14=18/7=2 4/7
Похожие вопросы
Предмет: Українська мова,
автор: Аноним
Предмет: Українська мова,
автор: belkinaulia2009
Предмет: Українська мова,
автор: katerinapetrilaburci
Предмет: Биология,
автор: Аноним
Предмет: Алгебра,
автор: pitirimovalizka