Предмет: Математика, автор: Бодя2212

Вычислить частные производные функций
Обчислити частиннi похiднi функцiй

Приложения:

Ответы

Автор ответа: Namib
1

Пошаговое объяснение:

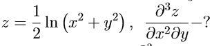
\frac{dz}{dx}=\frac{x}{x^{2} +y^{2} }\\\frac{d^{2}z }{dxdy}=-2\frac{xy}{(x^{2} +y^{2})^{2}} \\\frac{d^{3}z }{d^{2} xdy}=-2y\frac{(x^{2} +y^{2})^{2}-x*2(x^{2} +y^{2})*2x}{(x^{2} +y^{2})^{4}}=\\ =-2y\frac{(x^{2} +y^{2})((x^{2} +y^{2})-4x^{2})}{(x^{2} +y^{2})^{4}}=-2y\frac{y^{2}-3x^{2} }{(x^{2} +y^{2})^{3}}


Бодя2212: https://znanija.com/task/33459413 хелп
Похожие вопросы
Предмет: Алгебра, автор: Yuliya4208
Предмет: Алгебра, автор: karinaasanova5303
Предмет: Математика, автор: PlotnikovaY7900