Предмет: Алгебра,
автор: chencasper88
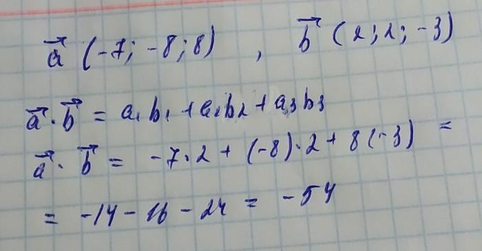
Определи скалярное произведение векторов a⃗ {-7;-8;8} и b⃗ {2;2;-3} .
Ответы
Автор ответа:
8
Решение приложено...
Приложения:
lalkalolol:
Здравствуйте! Помогите пожалуйста по алгебре. https://znanija.com/task/33453114 заранее благодарю, ооочень срочно
Похожие вопросы
Предмет: Математика,
автор: dv6114707
Предмет: Русский язык,
автор: lsgogo
Предмет: Математика,
автор: redkina547
Предмет: Литература,
автор: danilosipov2002