Предмет: Математика,
автор: kdias8877
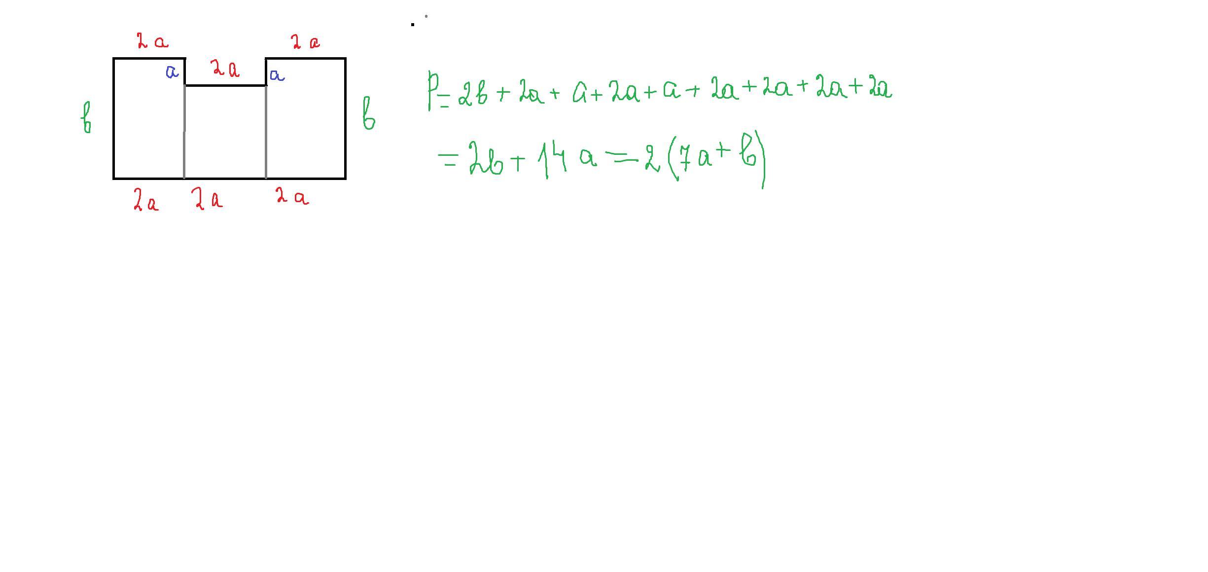
Найди периметр фигуры 18 задания СРОЧНО
Приложения:
Ответы
Автор ответа:
1
Ответ:
B) 2(7a+b)
Пошаговое объяснение:
Приложения:
kdias8877:
Спасибо
Похожие вопросы
Предмет: Математика,
автор: alexandramaslennikov
Предмет: Математика,
автор: MANIXEL
Предмет: Обществознание,
автор: mannita
Предмет: Биология,
автор: elinach12
Предмет: Литература,
автор: seidov05