Предмет: Математика,
автор: mistikabill
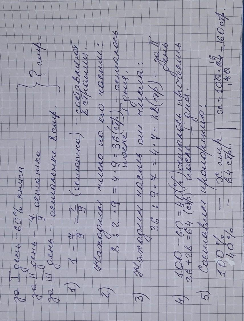
как решить?????????????????
Приложения:
Ответы
Автор ответа:
1
Ответ:
В книге всего 160 страниц
Приложения:
Автор ответа:
1
Берем всю книгу за 1 часть. В первый день Коля прочёл 60% от 1 или 60/100 = 6/10 = 3/5. Во второй день он прочёл 7/9 от остатка (1 - 3/5 = 5/5 - 3/5 = 2/5), то есть 7/9 • 2/5 = 14/45, а уже в третий день все остальное, равное восьми страницам. Остаток третьего дня равна 1-3/5 - 14/45 = 2/5 - 14/45 = 18/45 - 14/45 = 4/45
4/45 книги = 8 страницам
Тогда в книге = 8:4/45 = 8•45/4 = 2•45 = 90 страниц
sharofat0:
Спасибо , я реально ошиблась.
Похожие вопросы
Предмет: История,
автор: nastyasohina766
Предмет: Математика,
автор: smoll2007
Предмет: Русский язык,
автор: gbulat8984
Предмет: Алгебра,
автор: Simonazorik
Предмет: Музыка,
автор: WiFi555