Предмет: Математика, автор: ndbdbfbdbd

Решите как в классе и понятно 7 класс алгебра

Приложения:

Ответы

Автор ответа: kotvitskaya02
1

Ответ:

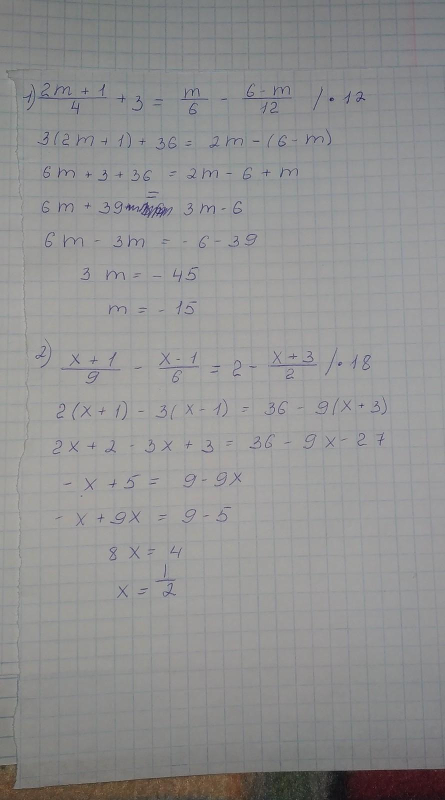
решение прикрепила фотографией

Приложения:
Похожие вопросы