Предмет: Алгебра, автор: AlinMuse

Нужно сделать 9-е (8 класс)
15 баллов

Приложения:

Ответы

Автор ответа: lena25073
1

Ответ:

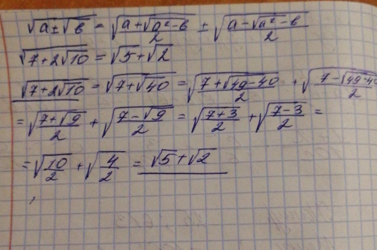
Применяя формулу двойного радикала

Приложения:

AkiraIkysaba: а зачем если можно разложить на множетели и упростить корень
lena25073: ваше решение абсолютно не обоснованно, а моё доказано.
AkiraIkysaba: сейчас докажу секундочку
lena25073: не забывайте, что это 8 класс и они как раз проходят эту тему сейчас)
AkiraIkysaba: а сокращение степени корня и показателя прям не 8 класс
lena25073: я бы хотела посмотреть ваше доказательство.видимо я не понимаю вашу "истину"
AkiraIkysaba: Посмотрите мастер математики
AkiraIkysaba: решается в 2 действия, на уровне даже 7 класса решение сделал
lena25073: не до каждого дойдёт как разложить.
lena25073: тут пускай автор решает как ему удобнее решать)
Автор ответа: AkiraIkysaba
1

Ответ:Истина первое значение = 2

Объяснение:

Приложения:
Похожие вопросы
Предмет: Математика, автор: сдающийогэсуицидник
Предмет: Математика, автор: dzyubaruslans