Предмет: Математика, автор: sedykhroman1401

Подскажите пожалуйста!
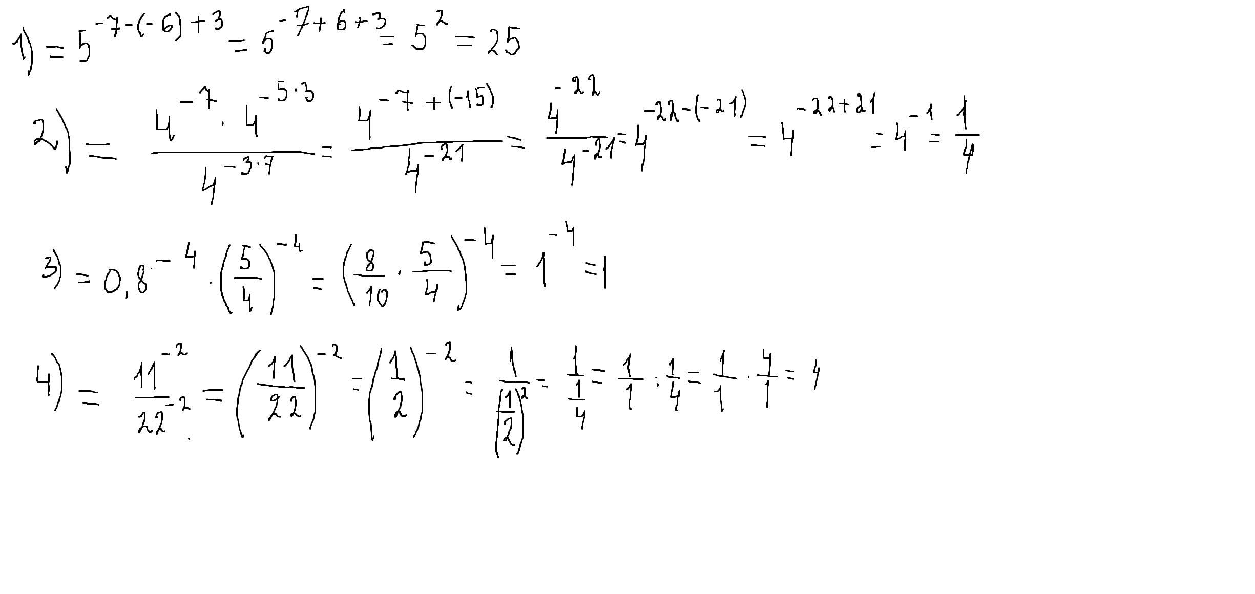
Найдите значение выражения)
Даю 35 баллов ​

Приложения:

Ответы

Автор ответа: Margo1547
1

Ответ:

в фото все расписано

Пошаговое объяснение:

Приложения:
Автор ответа: parus77
1

Ответ:

Пошаговое объяснение:

решение смотри внизу

Приложения:
Похожие вопросы
Предмет: Математика, автор: kornevura96
Предмет: Литература, автор: olegka78
Евгений Пермяк

ПРОПАВШИЕ НИТКИ

(1)Жила-была сварливая старуха. (2)К тому же неряха. (3)Стала как-то она шить. (4)А у неряхи все нитки спутаны. (5)Распутывала их, распутывала нерадивая торопыга да и крикнула:

(6)– Пропадите вы пропадом! (7)Чтобы глаза мои не видели вас со всем вашим нитяным отродьем!

(8)А нитки возьми да и пропади со всем своим нитяным отродьем: кофтами, юбками, платьями и бельём. (9)Ничего нитяного в доме сердитой старухи не осталось.

(10)Сидит старуха голышом и вопит на всю горницу:

(11)– Батюшки-матушки, где же моя одежда?

(12)Кинулась старуха за овчинным тулупом, чтобы себя прикрыть. (13)А тулуп по овчинам на куски распался. (14)Потому как овчинные куски тоже нитками были сшиты.

(15)Мечется старуха из угла в угол, а по избе пух летает. (16)Наволочки у подушек тоже из ниток тканные. (17)Не стало в доме ни варежек, ни чулок, ни одеял, ни половиков. (18)Ничего нитяного не стало.

(19)Накинула старуха на себя рогожный куль, да и давай у ниток прощения просить:

(20)– Ниточки льняные, ниточки шерстяные, ниточки хлопковые, ниточки шёлковые! (21)Простите меня, старуху сварливую, торопливую, нерадивую. (22)Вернитесь в мою избу.

(23)И так-то жалобно старуха голосит-причитает, просит, что даже нитки, испокон веков молчальницы, и те заговорили.

(24)– Назови, – говорят нитки, – половину того, что из нас, ниток, ткётся, плетётся, вьётся и вяжется. (25)Тогда вернёмся, простим.

(26)– Только-то и всего? – обрадовалась старуха. (27)– Мигнуть не успеете, назову. (28)И принялась старуха называть. (29)Назвала десяток-другой нитяных изделий-рукоделий да и осеклась.

(30)Не всякий, кто круто берёт, далеко идёт. (31)Спотыкается. (32)Останавливается. (33)Отдыхает. (34)Стала старуха вспоминать, что из ниток ткётся, плетётся, вьётся и вяжется. (35)День вспоминает, два вспоминает – десятой доли не вспомнила.

(36)Шелка, бархата, сукна, ковры, половики, ситцы, кружева, одеяла, скатерти. (37)Платки, шали, шарфы, ленточки разные…

(38)Отдохнёт и опять вспоминать примется: пояски, опояски, к ботинкам завязки, сапожные ушки, накидки на подушки, тюлевые шторки, плетёные оборки, сети-мерёжи и косынки тоже…

(39)Месяц проходит – другой начинается. (40)А нитки не возвращаются. (41)Старуха из сил выбивается. (42)Другой день больше двух-трёх нитяных поделок и назвать не может. (43)Соседи старуху жалеть начали, подсказывают.

(44)Сороки и те, как только выведают, где что новое из ниток делают, – старухе перестрекочут. (45)Тоже жалеют. (46)И вы её пожалейте. (47)Может быть, тоже десяток-другой нитяных поделок назовёте.

(48)Поняла она теперь, что нитки весь свет одевают, нигде без них не обходится.

(2 балла) Напишите номер предложения, в котором объясняется, почему по избе летает пух.