Предмет: Химия,
автор: Maksvfrc
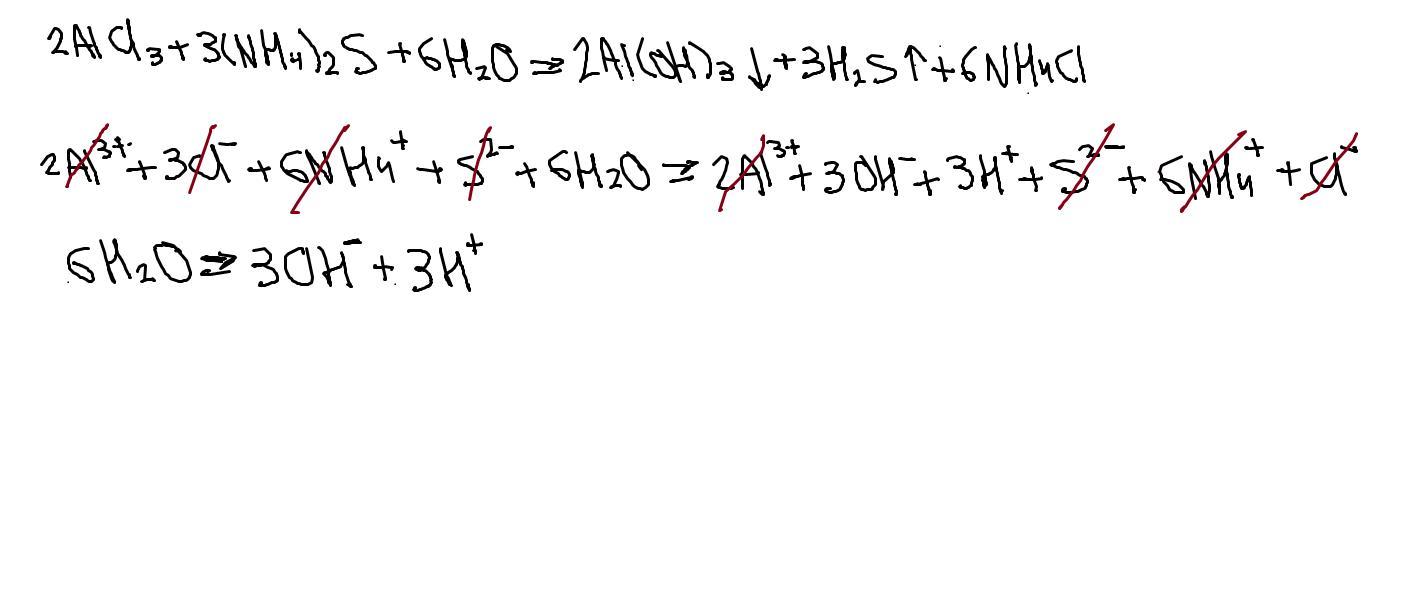
2AlCl3+3(NH4)2S+6H2O→2Al(OH)3↓+3H2S↑+6NH4Cl в ионном виде
Ответы
Автор ответа:
2
Ответ: Ответ смотри на фото :)
Объяснение:
Приложения:
Похожие вопросы
Предмет: Геометрия,
автор: ggliver
Предмет: Алгебра,
автор: maksympilichov
Предмет: Английский язык,
автор: arsenshumska
Предмет: Литература,
автор: сабрин2
Предмет: Физика,
автор: supernimemen