Предмет: Алгебра, автор: basta0176

30 баллов!!!! хееееелп, ссроооочнооо!!!!!​

Приложения:

Ответы

Автор ответа: Universalka
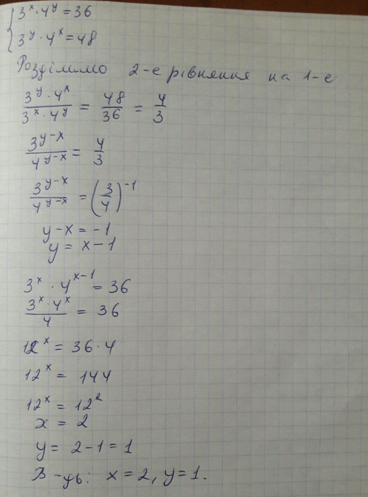
1

\left \{ {{3^{x}*4^{y}=36} \atop {3^{y}*4^{x}=48}} \right.\\\\x=2;y=1\\\\Otvet:\boxed{(2;1)}

Найдено подбором


basta0176: конечно спасибо, но было бы лучше решить вручную
Universalka: Эта система решается только так
basta0176: но будь там числа побольше на подбор уйдет очень много времени, в таких случаях он не очень ефективен
basta0176: что же делать , на контрольной будет такой же пример но числа будут намного больше
Автор ответа: PVJ
1

Відповідь:

Пояснення:

Приложения:
Похожие вопросы
Предмет: Русский язык, автор: lilyzimina2000
Спиши текст. Подчеркни глаголы как члены предложения. У каких глаголов можно определить лицо, а у каких – род?

Вижу из окон: башенный кран мне кланяет(?)ся по утрам.

Грохоч…т бульдозер, фырч…т землеройка.

И вот уже новый этаж поднялся, - и окна есть, балконы, а кран мой ничуть (не) зазнался – отвешива…т поклоны.

Спиши и отгадай загадки, объясни написание глаголов:

1) Упад…т – поскач…т, 5) Прозрачен, как стекло,

удар…шь – (не) плач…т. А (не) встав…шь в окно.

2) Брат (не) летает 6) И тонок, и долог,

Летает сестра, А сяд…т –

Легка и остра. В траве (не) видать.

3) Видно глазами, 7) Крылья есть-

Да (не) взять руками. Да (не) летает,

Ног нет-

Да (не) догон…шь.

4) Рыжий Егорка

Ушел в озерко,

Сам (не) утонул

И воды (не) всколыхнул.

Спиши текст, заменяя (где это возможно) глаголы другими, сходными по значению, с чередующимися гласными в корне. Озаглавьте текст. Вставьте пропущенные буквы.

Мы устроились на отдых у реки. Быстро поднялись на берегу палатки, з…ря угасла. Последние лучи со…нца чуть трогали верш…ны деревьев. По оврагам ра…ходился туман. Мы стали искать сучья и бросать их в костер. Один за другим вспыхивали сучья.

Глаголы для замены: ра…г…раться, соб…рать, ра…ст…латься, к…саться, дог…рать, выр…сти, ра…пол…житься.

помогите пожалуйста.
очень срочно нужно
Предмет: Математика, автор: Максим3000019
Предмет: Физика, автор: Аноним