Предмет: Алгебра,
автор: nastyanelyd
СРОЧНО ПОМОГИТЕ С 3!!!
Приложения:
Ответы
Автор ответа:
1
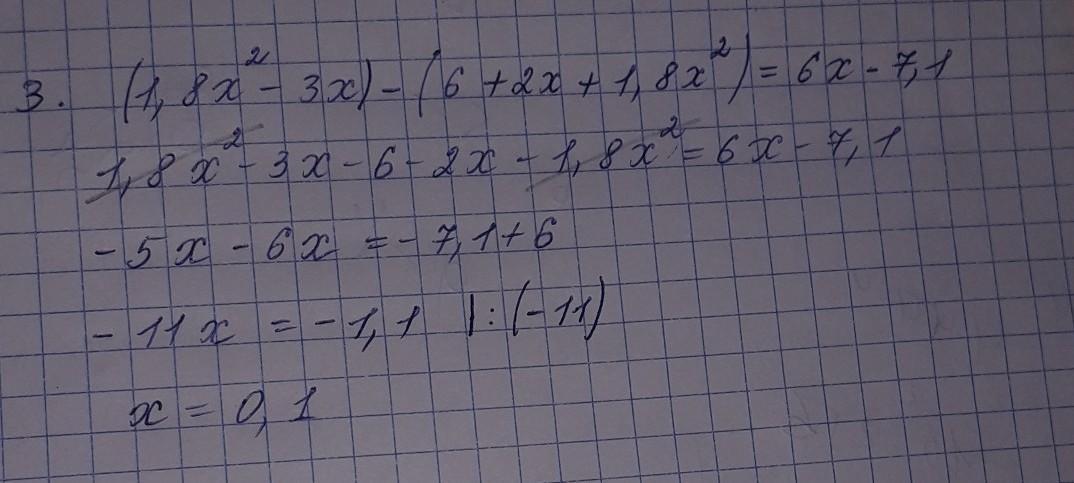
Ответ:
0,1
Объяснение:
смотри фото........
Приложения:
nastyanelyd:
спасибо большое
рада, что смогла помочь)
очень помогла
Похожие вопросы
Предмет: Английский язык,
автор: loraqaxzQq1134245
Предмет: Алгебра,
автор: marinasinenkaya89
Предмет: Геометрия,
автор: Art45310
Предмет: История,
автор: utxjgx