Предмет: Математика,
автор: edinstvennaya1
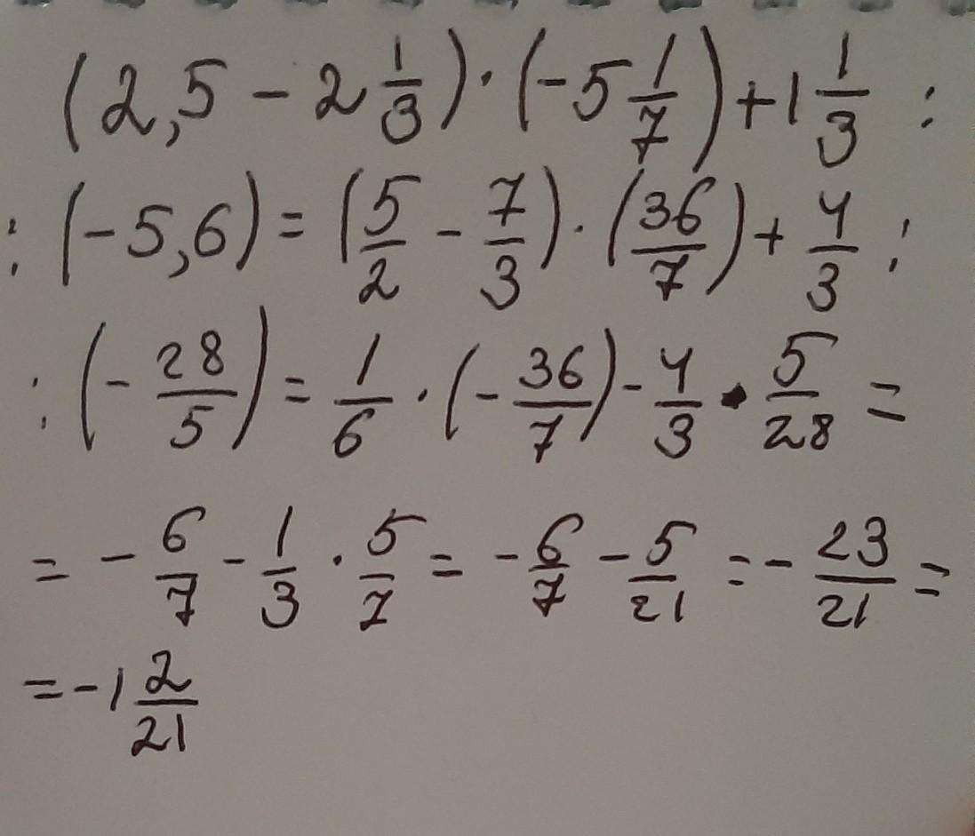
Помогите решить пример по действиям пожалуйста (2,5- 2 целых 1/3)*(-5 целых 1/7)+1целая1/3:(-5,6) =?
Ответы
Автор ответа:
0
-1 целая 2/21 (вроде правильно)
Приложения:
Похожие вопросы
Предмет: Қазақ тiлi,
автор: happycatwow
Предмет: География,
автор: aliserk735
Предмет: Математика,
автор: dimakruchinin34
Предмет: Математика,
автор: Dimas22866
Предмет: Геометрия,
автор: 87756252640