Предмет: Алгебра, автор: baranovasofya00

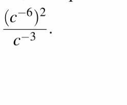
В какое из следующих выражений можно преобразовать дробь: (фото)

1.с^-9
2.с^-15
3.с^4
4.с^-1

Приложения:

Ответы

Автор ответа: QDominus
3

 \frac{ {( {c}^{ - 6} )}^{2} }{ {c}^{ - 3} }  =  \frac{ {c }^{ - 12} }{ {c}^{ - 3} }  =  {c}^{ - 12 - ( - 3)}  =  {c}^{ - 9}

Похожие вопросы
Предмет: Алгебра, автор: alyona3063
Предмет: Математика, автор: маруся409