Предмет: Алгебра,
автор: nolean
Будь ласка допоможіть )
Приложения:
Ответы
Автор ответа:
1
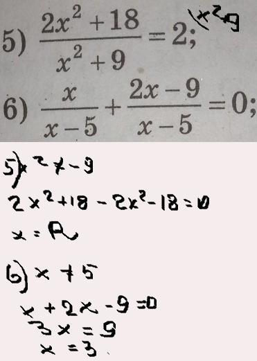
Ответ:
СМ ФОТО
Объяснение:
Приложения:
Похожие вопросы
Предмет: Математика,
автор: Sanyazxctryghoul
Предмет: Геометрия,
автор: garassvitlana5
Предмет: Химия,
автор: casha66
Предмет: Математика,
автор: FILIPIN462