Предмет: Геометрия,
автор: keppomasta
Помогите пожалуйста с заданием, оно представлено ниже
Приложения:
Ответы
Автор ответа:
1
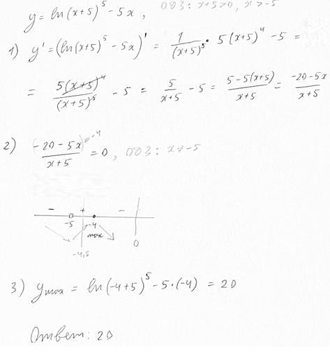
Ответ:
20
Объяснение:
Подробное решение прикреплено в файле!
Приложения:
Похожие вопросы
Предмет: Физика,
автор: barashkovaveronika02
Предмет: Русский язык,
автор: Аноним
Предмет: Математика,
автор: olgacvyrova465
Предмет: Математика,
автор: Proshkina825