Предмет: Математика,
автор: Аноним
помогите решить все номера на листочке
Приложения:
Ответы
Автор ответа:
1
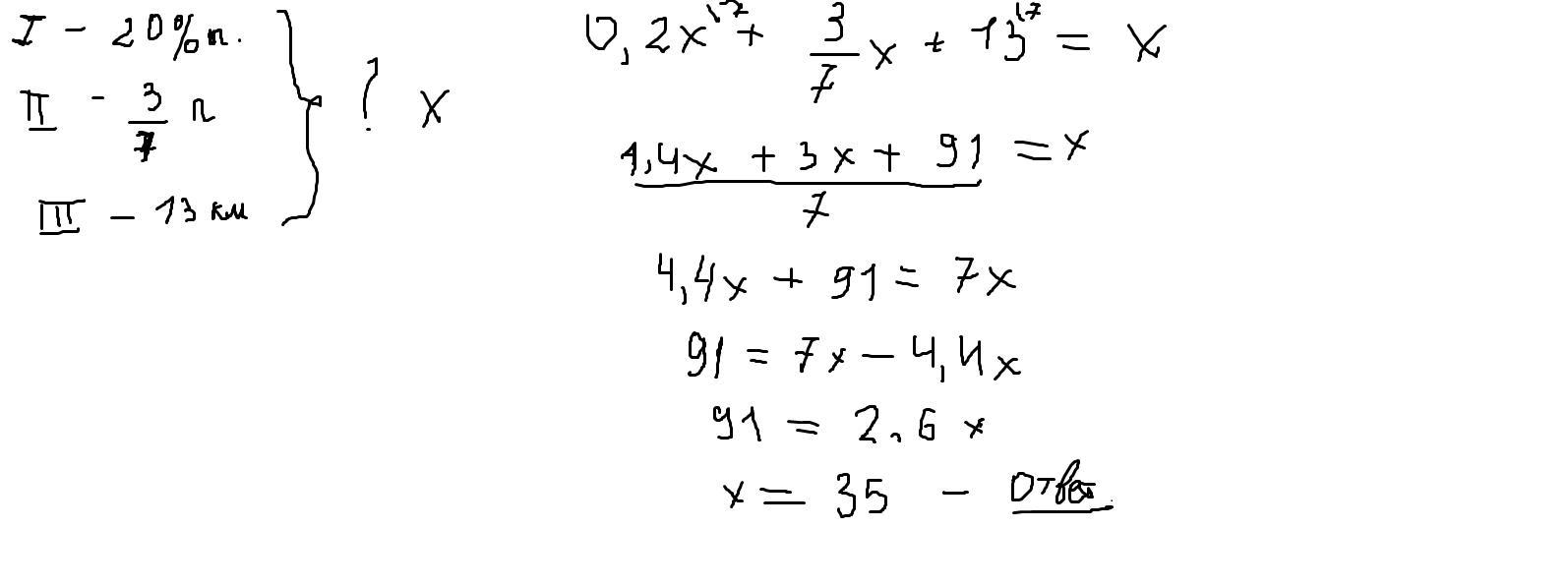
Ответ:2)36 и 30
3)35
4)4 1/3
Пошаговое объяснение: на картинках
Приложения:
Похожие вопросы
Предмет: Геометрия,
автор: noname3280792920202
Предмет: Немецкий язык,
автор: pankovm797
Предмет: Математика,
автор: maksimpoberesenko23
Предмет: Математика,
автор: богдан293