Предмет: Математика, автор: lyana777

решитеееее пожалуйста​

Приложения:

Ответы

Автор ответа: hedggehog
0

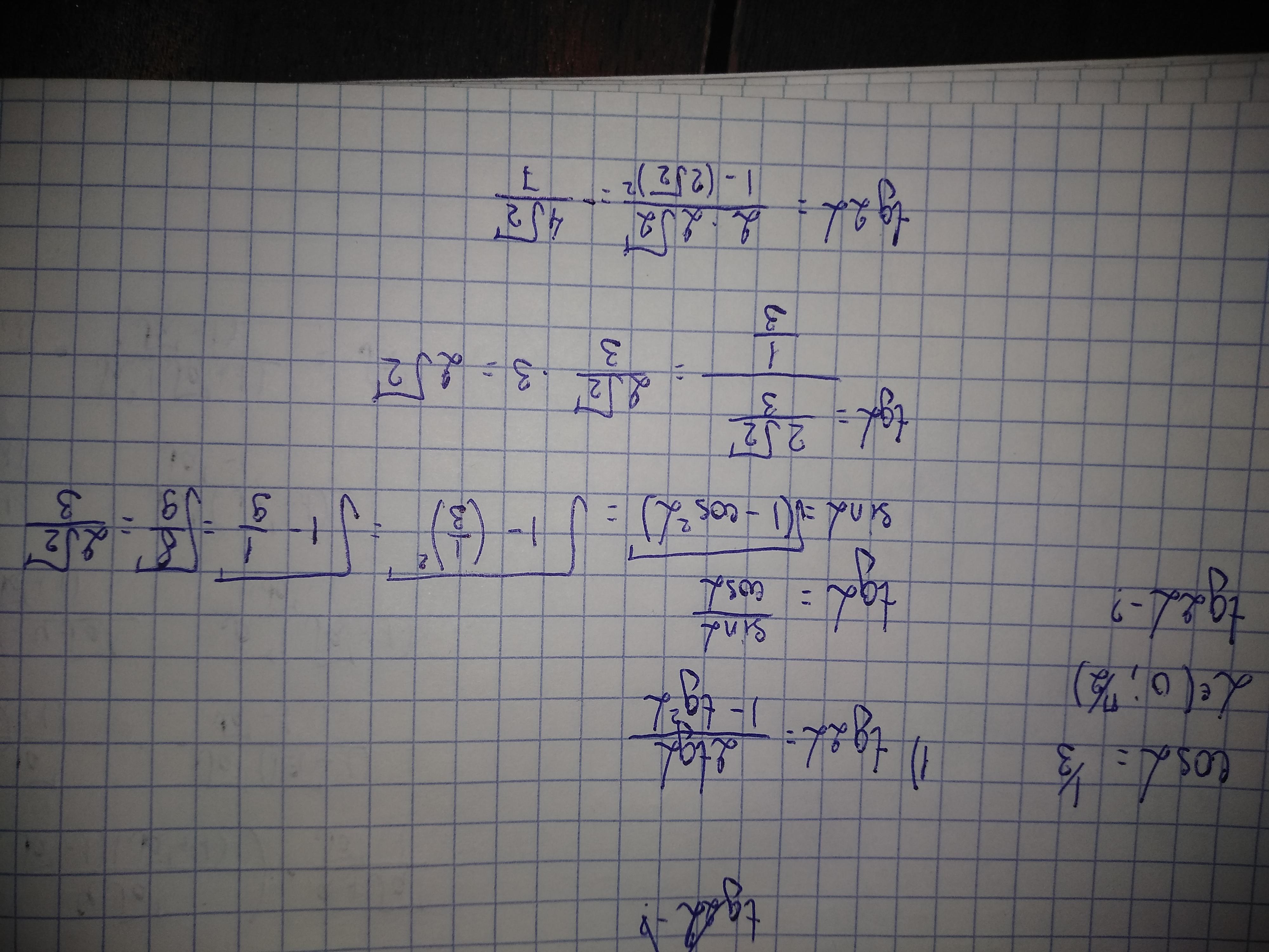
Ответ:

Пошаговое объяснение:

...........................

Приложения:

lyana777: это чтооооо?
lyana777: это не тоооо
lyana777: решите пожалуйста
lyana777: вот это
lyana777: 3sin^2a+6×cos^2a; cosa=-1/2
lyana777: кинула
lyana777: посмотри
Похожие вопросы
Предмет: Биология, автор: magdalynka51
Предмет: Английский язык, автор: equstrian
Предмет: Математика, автор: ббббббиоол