Предмет: Алгебра,
автор: hogwards79

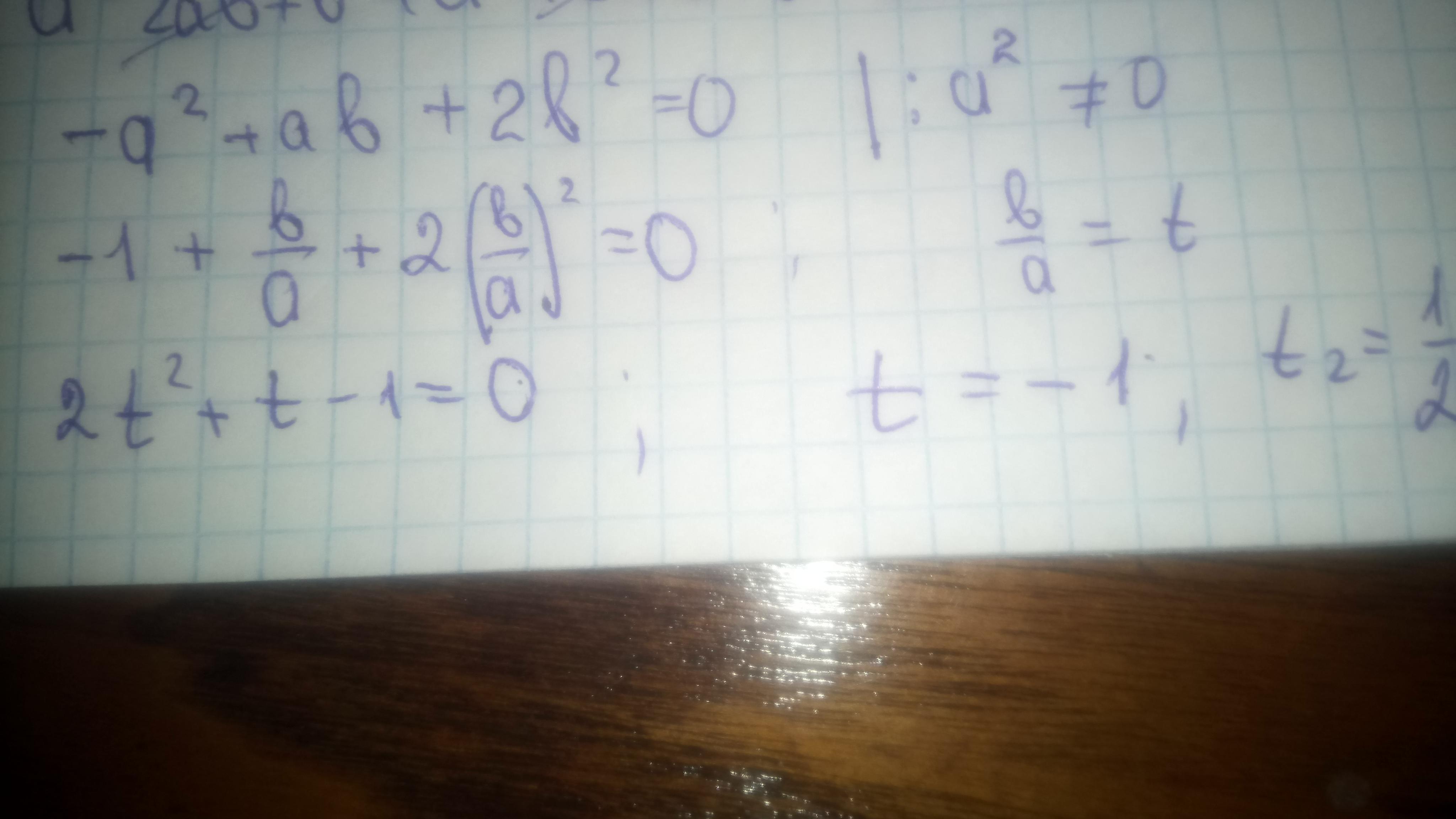
a, b удовлетворяют равенство
Какое значение может принять отношение b/a?

числа а, b задовольняють рівність
Які значення може приймати відношення
очень жду твой ответ❤️❤️
срочно!!!
Ответы
Автор ответа:
2
Відповідь: 0,5
Пояснення:
Приложения:
Похожие вопросы
Предмет: Русский язык,
автор: anamuratova5
Предмет: Алгебра,
автор: Kris000011
Предмет: Геометрия,
автор: saender
Предмет: Обществознание,
автор: MarkAbroze
Предмет: География,
автор: ireine