Предмет: Алгебра,
автор: NikanikaVika
9 класс,вариант 1 задание 3,4,5,срочно. Заранее спасибо,буду очень благодарна если вы мне поможете❤
Приложения:
Ответы
Автор ответа:
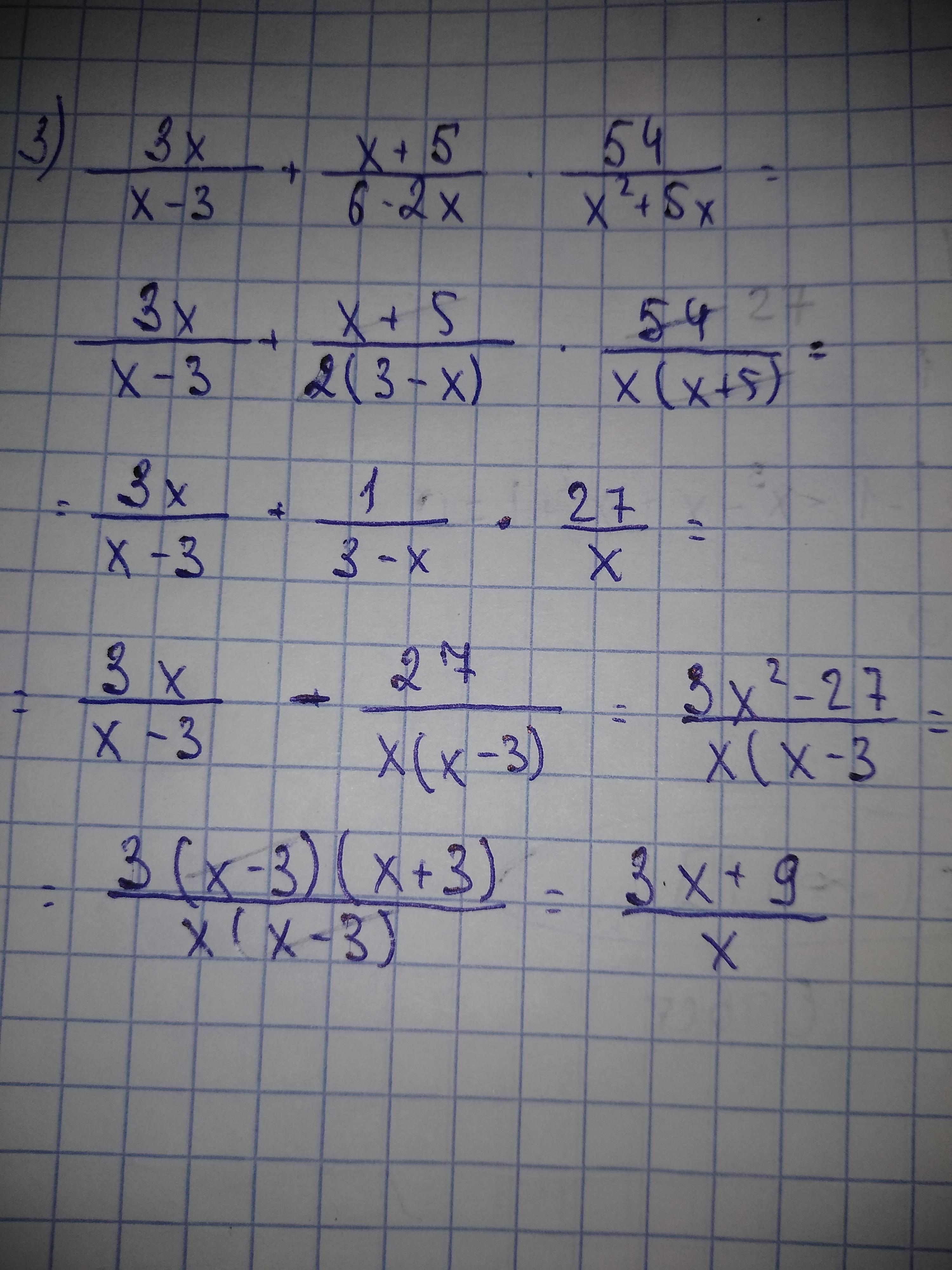
3
Ответ:
Объяснение:
..........................
Приложения:
Похожие вопросы
Предмет: ОБЖ,
автор: dolina0053
Предмет: Геометрия,
автор: tiomaris79
Предмет: Українська мова,
автор: Аноним
Предмет: География,
автор: гжд
Предмет: Обществознание,
автор: 00Яна00