Предмет: Алгебра,
автор: kakashka22882
Пожалуйста, помогите решить!
Заранее, спасибо!
Приложения:
Ответы
Автор ответа:
1
Ответ:
Объяснение:
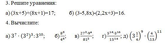
номер 3
а) (3x+5)+(8x+1)=17 б) (3-5,8x)-(2,2x+3)=16
3x+5+8x+1=17 3-5,8x-2,2x-3=16
3x+8x=17-5-1 -5,8x-2,2x=16-3+3
11x=11 -8x=16
x=1 x=-2
-x=2
kakashka22882:
СПАСИБО
Похожие вопросы
Предмет: Русский язык,
автор: DGM13
Предмет: Английский язык,
автор: sofiadzendzik
Предмет: Русский язык,
автор: dikijartem4
Предмет: Математика,
автор: иван683