Предмет: Алгебра,
автор: hgdfghjty
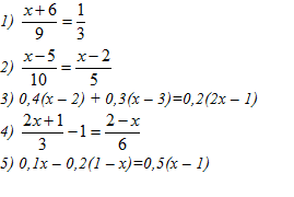
Решите уравнения. Расположите корни уравнений в порядке убывания.
Приложения:
Ответы
Автор ответа:
0
1)x=-3
2)x=-1
3)x=5
4)x=-2
5)x=1.5
2)x=-1
3)x=5
4)x=-2
5)x=1.5
Похожие вопросы
Предмет: Математика,
автор: tokarevmatvej7
Предмет: Математика,
автор: maksimlove001
Предмет: Русский язык,
автор: NABASTPEPE
Предмет: Химия,
автор: Аноним