Предмет: Алгебра,
автор: apietrov
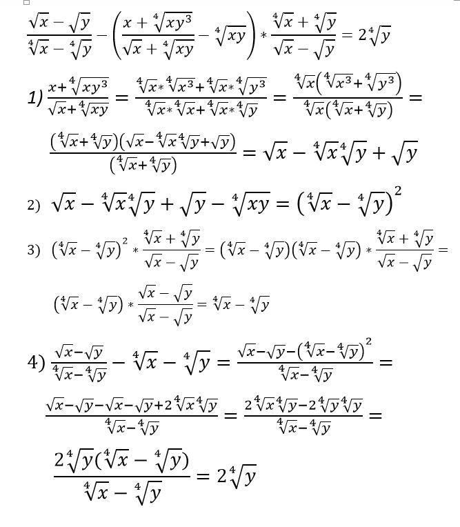
118 задание....................
Приложения:
Ответы
Автор ответа:
2
Ответ:
Объяснение:
корень четвертой степени число неотрицательное
значение выражения не отрицательно и не зависит от х
Приложения:
Похожие вопросы
Предмет: Другие предметы,
автор: angelinachanchikova
Предмет: Физика,
автор: andzelinagorobec
Предмет: Литература,
автор: liva050207
Предмет: Литература,
автор: xЛиана0811