Предмет: Алгебра,
автор: n3sk0n
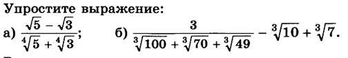
Помогите решить, срочно! Алгебра 10 класс!!!
Приложения:
Ответы
Автор ответа:
2
Ответ: во вложении
Объяснение:
Приложения:
Похожие вопросы
Предмет: Математика,
автор: instabumka
Предмет: Физика,
автор: dmytritp
Предмет: Английский язык,
автор: lizavintonuk722
Предмет: История,
автор: AVRORA444
Предмет: Математика,
автор: malikovamasha0