Предмет: Алгебра,
автор: dkomarova2017
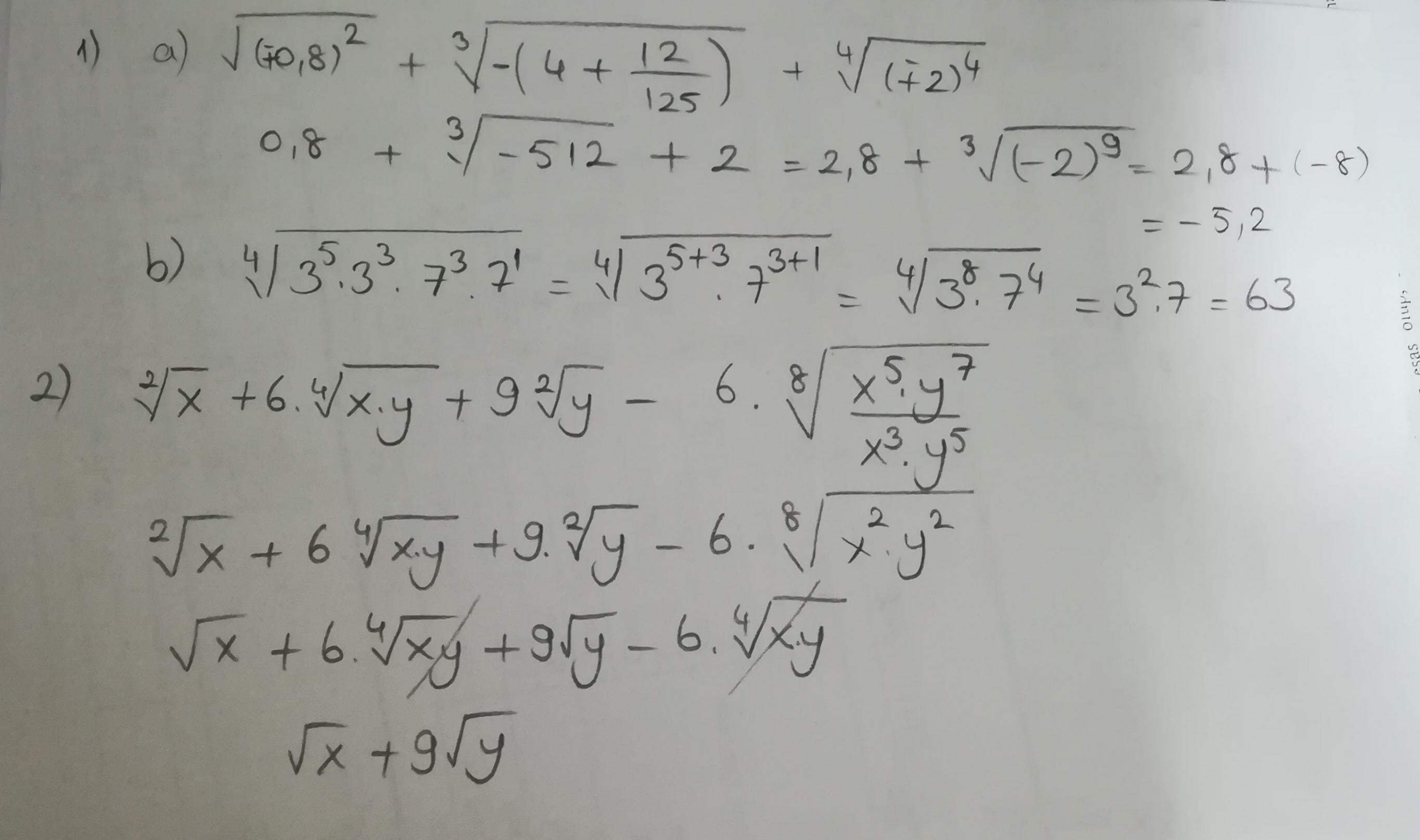
Вычислите и упростите выражение,плиииз)
Приложения:
Ответы
Автор ответа:
1
I hope this helps you
Приложения:
Автор ответа:
1
Ответ:
Радикалы.Ответ во вложении.
Приложения:
Похожие вопросы
Предмет: Русский язык,
автор: dilfuzailhomova
Предмет: Математика,
автор: yaxochy5pj
Предмет: История,
автор: alsujabiyeva06
Предмет: Математика,
автор: Дашка07112005
Предмет: Математика,
автор: фархад14