Предмет: Алгебра,
автор: dias6550
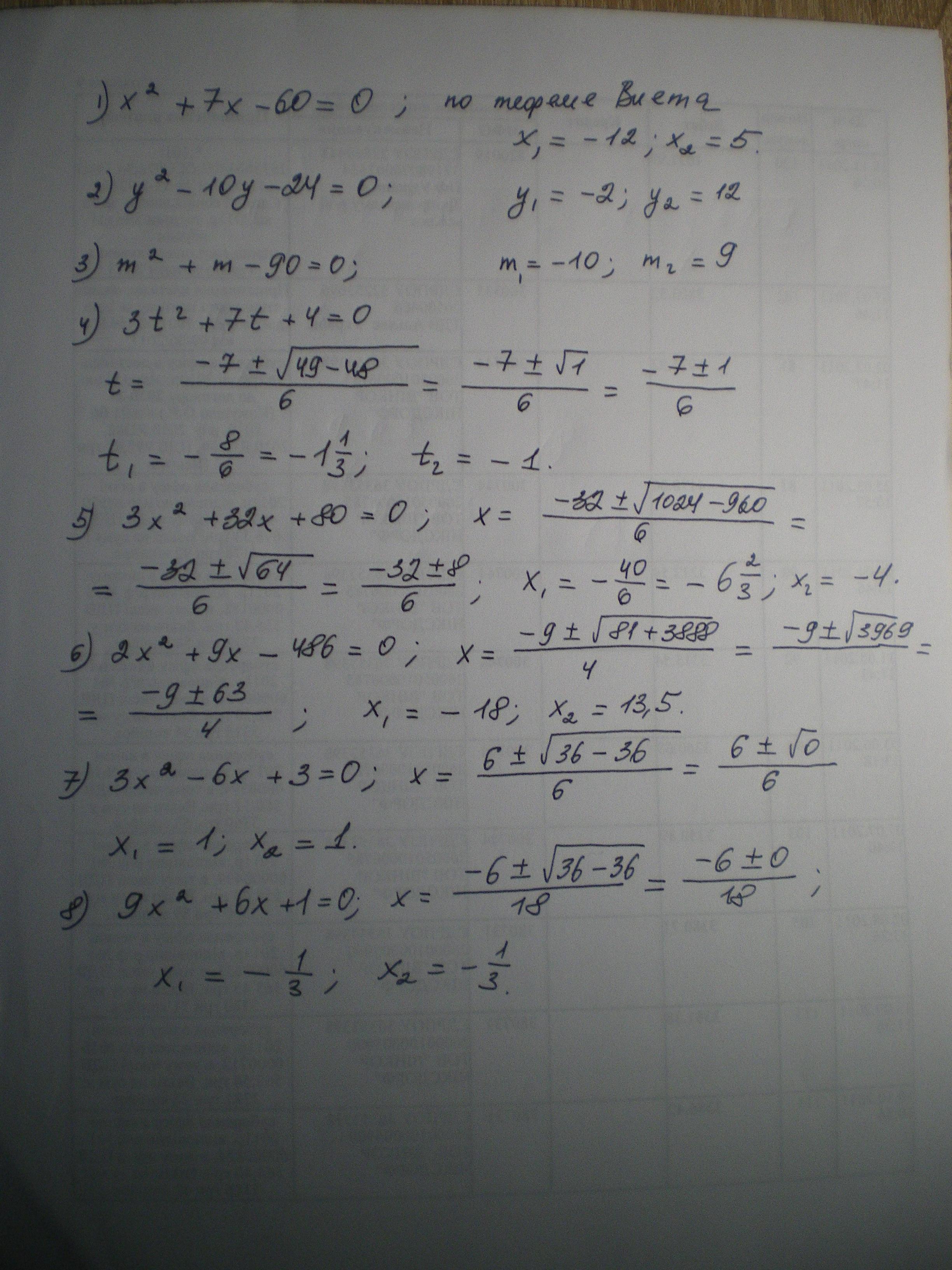
2.30. Найдите корни уравнения:
1) х^2 + 7х- 60 = 0;
2) y^2 - 10у - 24 = 0;
3) m^2 + m – 90 = 0;
4) 3t^2 + 7t + 4 = 0;
5) 3х^2 + 32х + 80 = 0;
6) 2х^2+9х — 486 = 0;
7) 3х^2 - 6х + 3 = 0;
8) 9х^2 + 6x+1= 0.
Ответы
Автор ответа:
21
Пошаговое объяснение:
Приложения:
Похожие вопросы
Предмет: География,
автор: lox02280228
Предмет: Математика,
автор: mashakrizanivska1
Предмет: Другие предметы,
автор: Neon867
Предмет: Литература,
автор: msvaleriyalebe