Предмет: Алгебра,
автор: yuraseven77
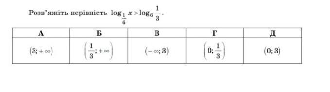
Нужен ответ с решением! Будут другие цифры.
Приложения:
Ответы
Автор ответа:
1
Ответ: решение смотри на фотографии
Объяснение:
Приложения:
MizoriesKun:
Бан за попрошайство не трудно
Автор ответа:
1
Смотри..................
Приложения:
Похожие вопросы
Предмет: География,
автор: sankovapolina991
Предмет: Русский язык,
автор: sotomioka
Предмет: Физика,
автор: rai6412
Предмет: Математика,
автор: катрин168
Предмет: Геометрия,
автор: ROMA199983