Предмет: Математика,
автор: Langarf
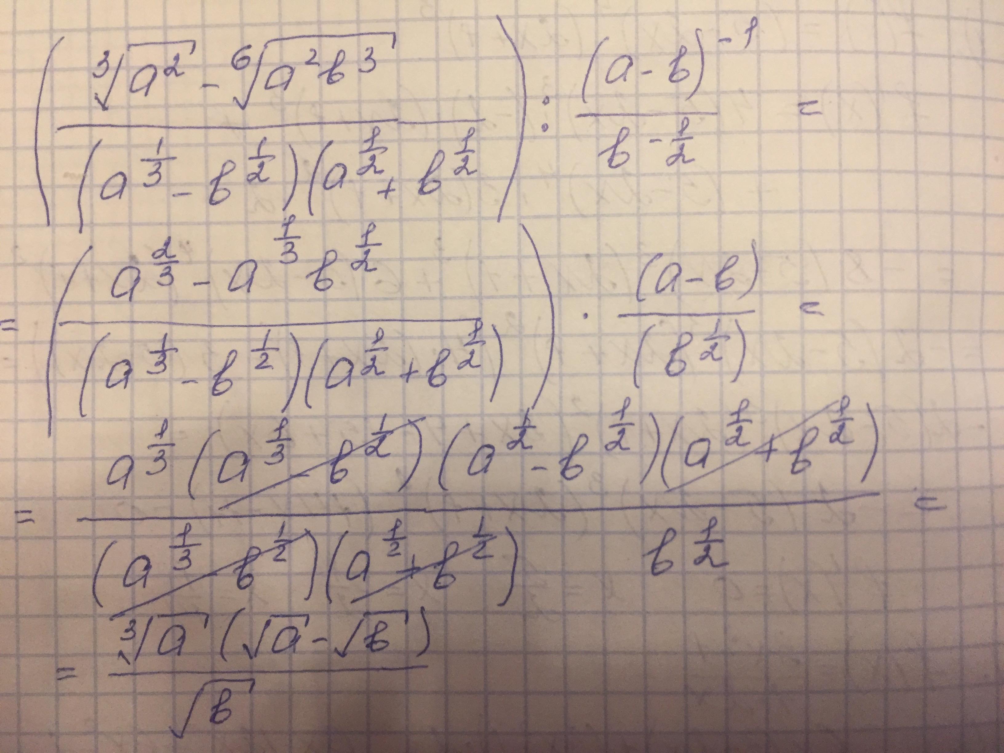
Упростить выражение, помогитееее
Приложения:
Ответы
Автор ответа:
1
Ответ:
Пошаговое объяснение:
===============================
Приложения:
Похожие вопросы
Предмет: Английский язык,
автор: bstarser
Предмет: Биология,
автор: iskandarbekovaaku95
Предмет: Английский язык,
автор: myhammed17
Предмет: Химия,
автор: razeas15